您现在的位置: 首页 > 药物手册 > 药品世界 > 各临床科室备用药物 > 眼科用药 > 正文 用户登录 注册
四环素眼膏
繁体版

四环素眼膏

  【药物名称】四环素眼膏  Tetracycline Eye Ointment

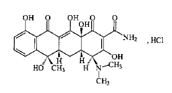
  【分子式成分】化学名为6-甲基-4-(二甲氨基)-3,6,10,12,12a-五羟基-1,11-二氧代-1,4,4a,5,5a,6,11,12a-八氢-2-并四苯甲酰胺盐酸盐。分子式:C22H24N2O8·HCl。
  分子量:480.90。

  【制剂规格】眼膏:0.5%(g/g)。

  【药理毒理】本品为广谱抑菌剂,高浓度时具杀菌作用。许多立克次体属、支原体属、衣原体属、螺旋体对本品敏感。肠球菌属对其耐药。本品对淋病奈瑟菌具一定抗菌活性,但耐青霉素的淋球菌对四环素也耐药。多年来由于四环素类的广泛应用,临床常见病原菌对四环素耐药现象严重,葡萄球菌等革兰阳性菌及多数肠杆菌科细菌耐药。本品与四环素类不同品种之间存在交叉耐药。本品作用机制为药物能特异性地与细菌核糖体30S亚基的A位置结合,抑制肽链的增长和影响细菌蛋白质的合成。

  【药 动 学】本品为局部用药,很少吸收。

  【适 应 证】敏感病原菌所致结膜炎、眼睑炎、角膜炎、沙眼等。

  【用法用量】涂于眼睑内,一日1~2次。

  【注意事项】四环素类药物过敏史者禁用。

  【生产单位】资料暂缺


页面功能 【参与评论】【字体: 打印文章关闭窗口
·四环素可的松眼膏
·四环素软膏
·四环素

栏目列表