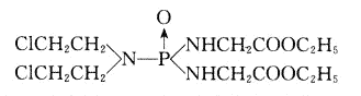
甘磷酰芥〔典〕〔基〕 Glyfostin
(磷酰胺氮芥双甘氨酸乙酯,Glyciphosphoramide,M-25)

为我国学者根据用天然代谢产物为载体的设想合成的甘氨酸磷酰氮芥化合物。其特点是局部应用有良好疗效,用于局部癌性溃疡的治疗。
【性状】白色结晶性粉末,极微溶于水,易溶于乙醇、丙酮、氯仿。
【药理及应用】实验证明在10种动物肿瘤中,对5种显示有抑制作用,其中对大鼠吉口肉瘤和瓦克癌肉瘤256的抑制率为90%~100%。对小鼠肉瘤180和梭形细胞肉瘤B22也有一定抑制作用。在组织培养中对Hela细胞的增殖和有丝分裂有明显抑制作用。虽属环磷酰胺的衍生物,但不需要活化,可直接起烷化作用。
大鼠口服14C甘磷酰芥后8小时,血中14C浓度达到高峰。至48小时似能维持一定浓度,且在正常及肿瘤大鼠各组织内的分布形式相似。口服后24小时从呼吸及尿粪中排出总量占给药剂量的39%,96小时总回收量为给药剂量的55.4%。
临床适应证:甘磷酰芥对恶性淋巴瘤、乳腺癌、小细胞肺癌、子宫肉瘤和慢性白血病均有效。局部应用对乳腺癌、子宫颈癌引起的癌性溃疡有较好疗效。
【用法】口服成人每日剂量1g,分2次服,每周连服4天,休息3天,一疗程总量10~15g,也可每日1g连续服用,一疗程总量15~20g。
局部喷敷或涂抹:用20%甘磷酰芥的二甲亚砚溶液或1%~2%的硅霜软膏局部外用,每日2次,连用20~30日。
【注意】可有食欲下降、恶心呕吐、头昏乏力等。主要引起骨髓抑制,白细胞减少和血小板减少,有时在停药后发生,故停药后也需密切观察血象变化。
【制剂】片剂:每片0.1g;0.25g。