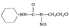
洛莫司汀〔典〕〔基〕 Lomustine
(环己亚硝脲,CCNU)

【性状】淡黄色结晶性粉末,无臭。几不溶于水,溶于乙醇,易溶于氯仿。遇热不稳定。熔点为88~91℃。
【药理及应用】作用原理与卡氮芥相近,能口服,主要用于脑肿瘤及小细胞和非小细胞肺癌。
口服后吸收很快,在生理条件下t1/2为53分钟,迅速转化为代谢物。血浆中氯乙基半衰期为72小时,环已基为5小时,60%以上在48小时内以代谢物形式由尿中排出。本品能透过血脑屏障,脑脊液中的浓度为血浆的50%~55%。
临床适应证:临床主要用于脑瘤、恶性淋巴瘤、肺癌及恶性黑色素瘤。
【用法】口服,1次120~140mg/m2,每6~8周口服1次。
【注意】不良反应与卡氮芥相同,主要是消化道反应及迟发的骨髓抑制。用药期间应严格检查血象。
【制剂】回胶囊剂:每胶囊40mg,100mg。
【贮法】置冰箱密闭、避光保存。运送时需装在冰盒中。