没食子酸锑钠 Antimony Sodium Subgallate
(次没锑钠,锑-273,Sb-273)

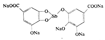
本品为我国创制的锑剂,系锑和没食子酸钠络合物。
【性状】类白色或乳黄色粉末,略有金属味,可溶于水。
【药理及应用】本品作用与酒石酸锑钾类似,特点为能口服。按照释放锑速度的不同,有缓释片和中速片两种片剂,以中速片较常用。主要用于治疗慢性早期血吸虫病。治疗后大便虫卵转阴率在70%以上。
本品可由胃肠道缓慢吸收,服药后48小时血锑浓度达到最高值。在体内有蓄积作用,连续服药后,随着服药次数的增加血锑浓度相应增高。测定心、肝、肾三个脏器的含锑量,以肝脏为最高。大部分由肠道排出。如先服小量,再逐渐增量,可减少呕吐发生率,说明消化道对本品有适应性。
【用法】治疗方法有10日疗法和15日疗法。10日疗法中速片的总量按没食子酸锑钠计算为0.35g/kg,15日疗法为0.4g/kg(体重超过50kg者仍按50kg计)。小儿剂量可酌情增加,年老体弱者可酌情减少。剂量的增减一般在5%~10%之间。本品对胃肠道刺激性较大,故开始时要先服适应片。适应片含少量没食子酸锑钠,可轻微刺激胃肠道使其适应。在正式疗程开始前1日睡前及治疗当日早饭后,分别服适应片20mg(2片)及40mg(4片)(其药量不算在中速片的总量内)。适应片宜在饭后3小时基本空腹时服,并只用少量温开水送下,以使药物保持一定浓度刺激胃肠道。每日所服中速片一般于早饭及晚饭后2小时服用,原则上晚饭后一顿可略多1~2片,此时饮水量不限。
缓释片现少用,其10日疗法总量按没食子酸锑钠计算为0.5g/kg,15日疗法为0.6g/kg,其余同前。
【注意】
(1)毒性及不良反应基本上与酒石酸锑钾同,唯消化道反应较重。
(2)15日疗法比10日疗法的不良反应少,男性比女性反应轻,儿童比成人反应缓和,因此体质较好的男患者与儿童可用10日疗法,体质较差的男患者与女患者宜用15日疗法。
【制剂】中速片:每片0.3g,含没食子酸锑钠0.2g。缓释片:每片0.4g,含没食子酸锑钠0.2g。适应片:每片0.12g含没食子酸锑钠10mg。