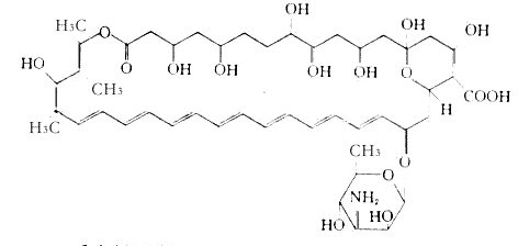
两性毒素 B〔典〕〔基〕 Amphotericin B

系由链霉菌Streptomyces nodosus的培养液中提炼制得,是一种多烯类抗真菌抗生素。国内由Streptomyces lushanensis sp.产生的庐山霉素(Lushanmycin)与本品为同一物质。
【性状】黄色或橙黄色粉末,无臭或几乎无臭,无味;有引湿性,在日光下易破坏失效。在二甲亚砜中溶解,在二甲基甲酰胺中微溶,在甲醇中极微溶解,在水,无水乙醇、氯仿或乙醚中不溶。其注射剂添加有一定量的脱氧胆酸钠(起增溶作用),可溶于水成胶体溶液,但遇无机盐溶液则析出沉淀。
【药理及应用】为抗深部真菌感染药。本品与真菌细胞膜上的甾醇结合,损伤膜的通透性,导致菌细胞内钾离子、核苷酸、氨基酸等外漏,破坏正常代谢而起抑菌作用。用于隐球菌、球孢子菌、荚膜组织胞浆菌、芽生菌、孢子丝菌、念珠菌、毛霉、曲菌等引起的内脏或全身感染。
【用法】临用前,加灭菌注射用水适量使溶解(不可用氯化钠注射液溶解与稀释),再加入5%葡萄糖注射液(pH>4.2)中,浓度每1ml不超过1mg。
(1)静滴 开始用小剂量1~2mg,逐日递增到1日1mg/kg。每日给药1次,滴注速度通常为1~1.5ml/分钟。疗程总量:白色念珠菌感染约1g,隐球菌脑膜炎约3g。
(2)鞘内注射 对隐球菌脑膜炎,除静滴外尚需鞘内给药。每次从0.05~0.1mg开始,逐渐递增至0.5~1mg(浓度为0.1~0.25mg/ml)。溶于注射用水0.5~1ml中,按鞘内注射法常规操作,共约30次,必要时可酌加地塞米松注射液,以减轻反应。
(3)雾化吸入 适用于肺及支气管感染病例。一日量5~10mg,溶于注射用水100~200ml中,分4次用。
(4)局部病灶注射 浓度1~3mg/ml,3~7天用1次,必要时可加普鲁卡因注射液少量,对真菌性脓胸和关节炎,可局部抽脓后注入药5~10mg,每周1~3次。
(5)局部外用 浓度2.5~5mg/ml。
(6)腔道用药 栓剂25mg。
(7)眼部用药 眼药水0.25%;眼药膏1%。
(8)口服 对肠道真菌感染,1日0.5~2g,分2~4次服。
【注意】
(1)毒性较大,可有发热、寒战、头痛、食欲不振、恶心、呕吐等反应,静脉用药可引起血栓性静脉炎,鞘内注射可引起背部及下肢疼痛。
(2)对肾脏有损害作用,可致蛋白尿、管型尿,定期检查发现尿素氮>20mg%或肌酐>3mg%时,应采取措施,停药或降低剂量。
(3)尚有白细胞下降、贫血、血压下降或升高、肝损害、复视、周围神经炎、皮疹等反应。
(4)使用期间可出现心率加快,甚至心室颤动,多与注入药液浓度过高、速度过快、用量过大,以及患者低血钾有关。
(5)出现低钾血症,应高度重视,及时补钾。
(6)使用期间,应用抗组胺药可减轻某些反应。皮质激素也有减轻反应的作用,但只限在反应较严重时用,勿作常规使用。
(7)静滴如漏出血管外,可引起局部炎症,可用5%葡萄糖注射液抽吸冲洗,也可加少量肝素钠注射液于冲洗液中。
【制剂】注射用两性霉素B(脱氧胆酸钠复合物):每支5mg;25mg;50mg。
【贮法】15℃以下,严格避光。配成的药液也必须注意避光。