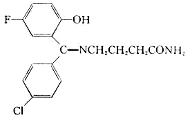
卤加比 Halogabide〔Ⅰ〕
(Progablde,Gabrene)

【药理及应用】本品为一拟氨基丁酸药,可直接激动GABA受体,化学结构中有γ-氨基丁酰胺侧链连结于苯亚甲基核,此核可促使药物向脑内转移,然后在中枢神经系统的内外被代谢成相应的酸(SL75102),最后分解得氨基丁酰胺,也可释出氨基丁酸,因而卤加比既是一个拟氨基丁酸药,也是一种外源性氨基丁酸。药物的直接作用是本品与SL75102结合于氨基丁酸受体而产生效应。口服易吸收,口服后2~3小时达血浆峰浓度。几乎全部由肝脏代谢,服药几分钟后脑内即出现本品相应的酸、氨基丁酸、氨基丁酰胺。t1/2]约为10~12小时。临床研究表明,本品对癫痫、痉挛状态和运动失调均有良好的治疗效果,适用于治疗癫痫病,亦可试用于治疗痉挛病和巴金森氏病。
【用法】口服:癫痫病:每日10~30mg/kg;痉挛病:每日24mg/kg;帕金森病:每日900~2100mg或遵医嘱。
【制剂】片剂:150mg;300mg;600mg。散剂:50mg。