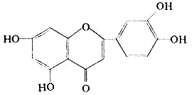
木犀草素 Luteolin

本品为白毛夏枯草(Ajuga decumbus)或青兰(Dracocephalum integrifolium)的有效成分,属弱酸性四羟基黄酮化合物,已能人工半合成。
【性状】为黄色针状结晶,熔点228~230℃(分解)。微溶于水,可溶于碱性溶液中。
【药理及应用】本品具有镇咳和祛疾作用。前者与其抑制咳嗽中枢有关;后者与其促进呼吸道腺体分泌和使痰液中酸性粘多糖溶解有关。此外,本品还有抗炎症作用、抗过敏作用和免疫增强作用。对金黄色葡萄球菌、肺炎双球菌、绿脓杆菌尚有抑菌作用。用于慢性支气管炎和其他呼吸道疾病的痰多咳嗽。
【用法】口服,每次20~40mg,1日3次。
【注意】部分病人可见口干、胃不适、头晕、恶心等反应,可随用药时间延长而逐渐消失。
【制剂】片剂:每片20mg。