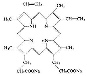
原卟啉钠 Protoporphyrin Disodium
(保肝能,Protoporphyrirn Sodium,Prolmon,NAPP)

本品系从健康牛、猪血液中提制得到的原卟啉的水溶性钠盐。
【性状】为紫褐色结晶性粉末,溶于水和甲醇,难溶于稀酸,不溶于氯仿、乙醚和丙酮等。
【药理及应用】原卟啉钠为肝脏机能改善剂,具有促进细胞组织呼吸,改善蛋白质和糖代谢,抗补体结合等作用。动物试验表明,本品对四氯化碳所致肝损伤具有明显降低氨基转移酶等的作用,并能改善氨基酸代谢,增加肝脏血流量,提高肝细胞蛋白的作用。适用于急性肝炎,慢性迁延性肝炎、慢性活动性肝炎,对肝硬化、胆囊炎胆石症亦有效。临床试用于各型病毒性肝炎,可使症状改善,肝肿缩小,氨基转移酶、浊度试验、黄疸指数等指标改善。
【用法】成人口服每日3次,每次10~20mg。儿童剂量酌减。
【注意】
(1)主要副反应为皮肤色素沉着,停药后可逐渐消退。其他副反应有头晕、上腹部痛、皮疹等。
(2)有遗传性卟啉症家族史者忌用。
(3)夏季眼药时,应避免阳光照晒,加服核黄素可防止或减轻色素沉着。
【制剂】肠溶片:每片10mg;20mg。
【贮法】密闭保存。