第四章 分析性研究
本书在绪论的“流行病学研究方法”一节中已经介绍过流行病学观察法可分为描述性研究与分析性研究两大类。对于病因研究来说,这两类方法可以看成是研究过程中的两个相互联系、相互补充的阶段。描述性研究结果可以为病因和危险因素的研究提供构成假设(假说)的线索(“病因的概念”将在第七章详述)。所谓病因假设是对某因素与某病因果关系的一种推测性的可检验的解释。检验结果可以支持或不支持原来的假设,也可产生新的假设。
例如,“吸烟引起肺癌”曾是一个概念性假设(conceptual hypothesis)但“某年某地某人群中每天吸烟20支以上长达20年的男子患肺癌的危险性显著大于不吸烟或少吸烟的同龄男子”就是一个可形成具体研究问题并可加以检验的假设。可检验假设又称可操作假设(operational hypothesis)。概念性假设通过研究设计而与可操作假设相联系。
分析性研究就是检验假设的一类研究方法。但研究结果也可产生新的假设。分析法主要有病例对照法和队列研究法两种,后者又可分为前瞻性与回顾性两种。
一、病例对照研究
(一)概说
病例对照研究(case control study)是主要用于探索病因的一种流行病学方法。它是以某人群内一组患有某种病的人(称为病例)和同一人群内未患这种病但在与患病有关的某些已知因素方面和病例组相似的人(称为对照)作为研究对象;调查他们过去对某个或某些可疑病因(即研究因子)的暴露有无和(或)暴露程度(剂量);通过对两组暴露史的比较,推断研究因子作为病因的可能性:如果病例组有暴露史者或严重暴露者的比例在统计学上显著高于对照组,则可认为这种暴露与患病存在统计学联系,有可能是因果联系(图4-1)。究竟是否是因果联系,须根据一些标准再加以衡量判断(详见第七章“病因及其推断”)。所谓联系(associatiom)是指两个或更多个变量间的一种依赖关系,可以是因果关系,也可以不是。

图4-1 病例对照研究示意图
例如,对一组肺癌病人(病例组)和一组未患肺癌但有可比性的人(对照组)调查他们的吸烟(暴露)历史(可包括现在吸烟否,过去吸过烟否,开始吸烟年龄,吸烟年数,最近每天吸烟支数;如已戒烟则为戒烟前每日吸烟支数,已戒烟年数,等等)。其目的为通过比较两组吸烟史的差别,检验吸烟(可疑病因)与疾病(肺癌)有因果联系的假设。这就是病例对照研究。
实例1.吸烟与肺癌的关系。
英国流行病学家A.B.Doll与R.Hill于1948~1952年进行过一项病例对照研究。他们从伦敦20所医院及其他几个地区选取确诊的肺癌1465例。每一病例按性别、年龄组、种族、职业、社会阶层等条件匹配一个对照;对照系胃癌、肠癌及其他非癌症住院病人,也是1465例。由调查员根据调查表询问调查。经分析数据,得到的主要结果有:①肺癌病人中不吸烟者的比例远小于对照组:男性占0.3%,女性占31.7%;而对照组中男性不吸烟者占4.2%,女性占53.3%,差别均很显著;②肺癌病人在病前10年内大量吸烟者(≥25支/日)显著多于对照组;③随着每日吸烟量的增加,肺癌的预期死亡率。(推算出的年死亡率)也升高,例如男性45岁~64岁组日吸烟25~49支者与不吸烟者死亡率之比为2.94/0.14,即前者的率为后者的21倍;④肺癌病人与对照组比较,开始吸烟的年龄较早,持续的年数较多,而病例中已戒烟者的停吸年数也少于对照组中已戒烟者。
以后,Hill,Doll,Peto等又用前瞻性队列研究法深入研究,经长达20年(女性经22年)的观察,更加令人信服地提示出吸烟为肺癌的主要病因以及吸烟对健康的其他多种危害。他们的结论已为其他许多研究所证实,成为许多国家提倡不吸烟、限制吸烟及限制卷烟销售政策的科学基础。
病例对照研究是最常用的分析流行病学方法。因其需要的调查对象数目较少,人力、物力都较节省,获得结果较快,并且可由临床医生在医院内进行。对于少见病的病因研究,常为唯一可行的方法。但这些优点都是与前瞻性队列研究相对而言的,实际上倘与同等规模的临床研究或实验室研究比较,病例对照研究所费的时间与精力可能更多。
本书以临床医学专业学生为主要读者,并不要求他们能掌握或独立应用分析流行病学方法,目标只是了解大概、扩大眼界、培养科学思辨能力,领会科学上获得一个发现或作出一个结论的复杂过程及需要的客观态度。
病例对照研究是从现在是否患有某种疾病出发,回溯过去可能的原因(暴露),在时间顺序上是逆向的,即是从“果”推求“因”,所以又称回顾性调查、研究。
病例对照研究(及其他类型的流行病学研究)中所谓的暴露(exposure)是指研究对象(病例或对照)具有某种疑为与患病与否可能有关的特征或曾受到某种疑为与患病与否可能有关的因子的影响。所谓特征(characteristic)可以是体质上的、生理上的、也可是心理精神上的;即可以是遗传性的也可以是获得性的;所谓因子(因素)既可以是外界的也可以是机体内在的;特征或因子可以是致病性的,也可以是保护性的(使人免于患病的)。因此,“暴露”是一个涵义广泛的概念。
(二)方法
1.样本含量的估计 为了研究一种暴露与疾病的关系需要多大一个样本,也就是需要多少个病例和多少个对照,首先取决于4个条件:①人群中暴露者的比例;②假定暴露造成的相对危险度(其涵义详见后文);③要求的显著性水平;④要求的把握度。从这4个条件估算样本的含量的方法,详见附录五。实际上,样本含量还受许多因素的制约,例如病例和对照的来源、财力、人力、完成期限等。假定只有一定数目的病例与对照可以利用,则一个研究能查出的最小相对危险度是多少?又假定经费数目已限定,则应选多少个病例与对照才能取得最大的把握度,这些都是应考虑的问题。此外,评价交互反应,控制混淆因素,亚组分析,每例多个对照等均影响所需样本的大小。
2.病例和对照的来源与选择
(1)病例:主要有两种来源:①从医院病人选择,即是从某一所或若干所医院选择某时期内就诊或住院的某种病的全部病例。病例应符合统一的、明确的诊断标准。最好是新发生的(新诊断的)病例。因为一种病的全部病例不大可能都有进入某一所或几所医院的同等机会,能进入的只是其中符合条件(即选择因素)的那一部分,所以不要求能代表某时某地的全部病例,但应要求能代表产生病例的人群,即该人群只要发生该种病例均可能进入该院。这样,结果的普遍性虽受限,但真实性不受影响,而真实性是普遍性的前提。这种研究称为以医院为基础的(hospital-based)病例对照研究;②从某特定人群选择病例,即是以符合某一明确规定的人群在某时期内(一年或几年,视病例发生多少而定)的全部病例或当病例数过多时以其中的一个随机样本作为研究对象。其优点是选择偏倚比前一种来源的小,结论推及该人群的可信程度较高。这种研究称为以人群为基础的(population-based)病例对照研究。
(2)对照:设立对照的目的在于估计如果疾病与暴露无联系,则病例组的暴露率可能为多少,也就是为比较提供一个基准。因此,对照与病例在一些主要方面必须具可比性。首先,对照必须从病例所来自的人群选择,对照是有可能成为病例的人,换言之,每一病例在未发病前应该是合格的对照,而每一对照若发病都有可能成为病例组的成员。对照选择是否恰当是病例对照研究成败关键之一。
通常的做法是:如果病例组来自某一特定人群,则可以该人群的非病例(即未患该种疾病的人)的一个随机样本作对照;如果病例来自某所医院,则可从同医院同时就诊或住院的其他病例中选择对照。要求对照具有和病例一致的某些特征,即对照与病例有可比性,例如性别、年龄、居住地等;同时要求对照没有患和研究因子与研究疾病有关的其他疾病的可能。例如,研究吸烟与肺癌的关系时,不能以慢性支气管炎病人为对照,因为吸烟同时是这两种病的可能病因;研究胃癌的病因不能以“慢性胃炎”病人为对照,因为这两种病在病因上有密切关系,前者可能是后者在病因链上的一环。上述要求的目的都是减少混淆偏倚。其他来源的对照如病例的邻居、同事、亲属等。各种不同来源的对照要解决的问题不同,都各有其局限性。例如,邻居对照可控制社会经济地位的混淆作用,兄弟姊妹对照是考虑控制早期环境的影响和遗传因素的混淆作用(极端要求为用同卵孪生),配偶对照是主要考虑成年期环境的影响。最常采用的方式是对照和病例都选自同一医院,因为理论上他们都来自该医院所服务的同一人群,而且对两者都可在相同的环境中进行调查,也易于合作。但是由于不同病种的患者入院的机会不同,有可能使本来与某病无关的特征在医院病例中表现出虚假的联系(详见第七章“病因及其推断”)。为了减少这种偏倚发生的可能性,应该选取多种疾病而不是一种疾病的病人作对照。
3.病例与对照的配合 设置对照的作用在于平衡除了研究因子(暴露)以外的其他可能影响患病的因素,也就是说如果暴露与所研究的疾病不存在联系的话,病例的暴露比例(率)应该与对照的无显著差别;如果发现显著差别,既然对照与病例在其他有关方面都可比较,因此可以推断患病与否可能是与暴露率的差别有联系。为使两者具可比性,首先可以通过限制选择病例与对照的范围(例如年龄范围、性别、种族等),使有关因子尽可能齐同。病例组与对照组的某些特征不应存在显著差别,即应该均衡。
另一个选择对照的重要方法叫匹配(matching,曾译“配比”),又称匹配抽样(matched sampling),就是在安排病例与对照时,使两者的某些特征或变量相一致。具体做法有两种:一种叫成组匹配或频数匹配,即在选择好一组病例之后,在选择对照组时要求其某些特征或变量的构成比例与病例组的一致(即在两组的总体分布一致),例如性别、年龄构成一致,具体做法上类似分层抽样。另一种做法叫个别匹配,就是以每一病例为单位,选择少数几个特征或变量方面与病例一致的一个或几个对照者组成一个计数单位或计数和分析单位。一个病例匹配一个对照的(即1:1匹配)一般称为配对,也就是说由一个病例和一个对照组成对子(pair)为一个计数单位。
个别匹配,特别是1:1匹配,最常被采用。理论上,一个病例可以匹配多个对照,但研究证明病例与对照之比超过1:4时,统计效率不会明显增加,但工作量却增大。如果病例与对照来源都充足,调查费用又差不多,则以1:1匹配最合适;如果病例数有限而对照易得,则可采用一个病例匹配几个对照的办法以提高统计效率(例如实例2)。
在病例对照研究中采用匹配的目的,首先在于提高研究效率(study efficiency),表现为每一研究对象提供的信息量的增加。匹配后再按匹配的因素进行分层分析,可使每一个匹配层中都有一定数目的病例与对照,不至于因有的层只有病例有的层只有对照而无法对比,不能提供信息。其次,在于控制混淆因素的作用。所以匹配的特征或变量必须是已知的混淆因子,至少也应有充分的理由这样怀疑,否则不应匹配。
无论是否采用匹配设计,为控制混淆作用都须在分析阶段用分层、标准化或多元分析,但匹配后再按匹配因素作分层分析可以提高分析的效率,也就是提高了控制混淆因素的效率。
但是匹配也要付出代价:匹配增加了寻找对照的速度,以同样的低价也许可以得到更多不匹配的对照,从而扩大样本含量。从这个意义上说,匹配又降低了研究效率。增加匹配项目又会导致可能作为对照者的减少,无法找到可匹配对照的病例只得被剔除;一个项目一经匹配不但使它与疾病的关系不能分析而且使它与其他研究因子的交互作用也不能充分分析。把不必要的项目列入匹配,企图使病例与对照尽量一致,如果匹配的因素与暴露有联系,就可能人为地造成更多的病例与对照暴露史一致的对子,徒然丢失信息,增加工作难度的结果反而是降低了研究效率。这种情况称为匹配过度(over-matching),应注意避免。
匹配的变量应一致到什么程度,取决于变量的性质、实际可能与必要:离散变量(即属性,无中间值的变量)可以完全匹配,连续变量(在一定范围内可取任何值的变量)往往划分为若干类或组,再按此匹配。例如按年龄分组、按血压分组、按吸烟量分组匹配。分得太细,会增加工作难度,也不一定必要,例如年龄要求同岁;但分得太粗,例如年龄按10岁分组,又达不到控制混淆作用的目的。
当估计有许多可能的混淆因素需要控制时,倘仅靠分层则因层数太多不能保证每层均有病例与对照,所以采用匹配以保证有效的分层分析。其次,有的列名变量包含许多类别或内容复杂(例如职业、种族、居住地、籍贯、兄弟姊妹等),如是可能的混淆因子,应加匹配。否则单靠分层不能控制混淆作用。
匹配可保证对照与病例在某些重要方面的可比性。对于小样本研究以及因为病例的某种构成(例如年龄、性别构成)特殊,随机抽取的对照组很难与之平衡时,个别匹配最为有用。
一般除性别、年龄之外,对于其他因素是否列入匹配须持慎重态度,以防止匹配过头及徒增费用和延长完成时间。
4.计划和执行 病例对照研究在制订计划和执行时应注意以下问题:
(1)主要假设的说明是否清楚、简明而且可以检验?
(2)疾病与暴露变量的定义清楚、明确否?
(3)是否拟探索剂量反应关系和多个危险因素的联合作用?
(4)为解答问题所需之病例数和对照数能否得到?这样大小的样本能查出的最小相对危险度是多少?与估计的相差多少?[参考附录五(四)节]。
(5)病例来源及抽样技术明确否?病例数与对照数之比是多少?匹配否及匹配哪些变量?
(6)调查表(问卷)是否已包括打算测量的所有变量并能够收集到需要的数据?其详尽程度是否已足供分析之用?
(7)医院记录(病历)及其他来源的信息、从体检、实验室检查、病理切片等获得的数据需表格记录否?
(8)调查表经过试用否?其真实度与可靠度(重复性)经评估否?访问时拟使用帮助回忆的实物、模型或图片否?
(9)调查员、质控员、病历摘录员、编码员的工作手册已编好否?须专门培训否?
(10)组织机构、人员、设备、经费落实否?
(11)协作单位有书面协议否?有关领导机关已批准否?将诊断根据(切片、标本、影像图片等)送到主持单位复核安排妥当否?
(12)实验室检验项目或用仪器检测的项目所用仪器、方法、试剂是否符合标准?结果的真实度与可靠度经过考核否?
(13)经治医院、医生是否同意提供病例和对照?是否必须取得研究对象在了解情况后的书面同意?资料、数据怎样保密?怎样保存?
5.数据分析 须分析什么项目,计算哪些统计量,用什么统计学方法,用手工(计算器)还是计算机,如用后者怎样建数据库和用什么软件包,等等,都应包括在设计之中,手工计算时还应拟好相应表格。现在计算机及统计软件包的应用渐趋普及,过去很难进行的一些复杂的统计检验现在很快就可完成并打印出结果还可绘出统计图。但是,一些流行病学专家主张先用手工计算基本内容以熟悉数据,然后再由计算机作复杂运算(多元分析)。
本节要介绍的是基本原理和基本方法,无论用手工或机器运算,这些都是应熟悉的。
病例对照研究数据分析的中心内容是比较病例和对照中暴露的比例并由此估计暴露与疾病的联系程度,并估计差别与联系由随机误差造成的可能性有多大,特别要排除由于混淆变量未被控制而造成虚假联系或差异的可能。进一步,还可计算暴露与疾病的剂量反应关系,各因子的交互作用(对一种因子的暴露会不会影响对另一种因子的效应),等等。非匹配和匹配设计的研究,数据的分析方法有一些不同。
(1)非匹配数据的分析:首先要检验病例组与对照组在某些主要特征(即可能成为混淆因子的特征)的构成上是否没有显著差别(均衡性检验)。
1)联系的显著性与联系强度:某个因素与某种结局(患病或死亡)之间的联系是否有统计学显著性,常用χ2检验。最简单的情况是因素与结局都只分为“有”或“无”两类,数据可纳入一张2×2表(即四格表,又称四格列联表),例如表4-1。χ2检验可用四格表专用公式(式4-1)。但χ2值的大小并不表示联系的强度。χ2≥3.84时,设两者无联系的假设(无效价设,H0)被否定,而转向存在联系的假设(备择假设,HA),这个判断错误的可能性为≤0.05(即ρ≤0.05)。χ2值越大,判断错误的可能性越小。
表4-1 危险因子与疾病的联系
患病 |
有暴露史 |
无暴露史 |
合计 |
有 |
a |
b |
a+b |
无 |
c |
d |
c+d |
合计 |
a+c |
b+d |
a+b+c+d=n |
统计学显著性可以评价在多大程度上可用机会解释所观察到的联系。但如数据本身存在系统误差,统计学显著性检验就无意义,因为它不能区别联系的真或假(由偏倚、混淆所致的联系)。此外,统计学显著性检验结果极大地受样本含量的影响,样本小则随机变异大;即使实际上暴露的作用很大,也会导致“不显著”的结论。所以“不显著”应理解为“不足以否定无效假设”。
(式4-1)
现况调查和队列研究(见本章“二、队列研究”)可以计算暴露者(或具某特征者)和未暴露者(或不具某特征者)的患病率或发病率,因为分子数与分母数是已知的。也可以计算相对危险度(见本章公式4-11)。这是联系强度的一个指标。
但是病例对照研究因为不能计算出患病率或发病率所以不能计算相对危险度,但可用另一个联系强度指标——比数比(odds ratio,又译比,值比、优势比,缩写为OR)。比数比是两个比数之比。比数(odds)是表示一个事件发生机会大小的一种指标。以表4-1为例(字母代表数目),如果是队列研究与现况调查,可以计算发病(或患病)比数,暴露组的这个比数为α/c,未暴露组的这个比数为b/d。如果是病例对照研究,可以计算暴露比数,在病例组是α/b,在对照组是c/d。两组比数之比称为比数比,
OR =(α/b)/(c/d)=αd/bc
或
OR =(α/c)/(b/d)= αd/bc.
(式4-2)
这个比正好是四格表中两条对角线上四个数字的交叉乘积αd与bc之比,所以四格表数据的OR又称交叉乘积比。OR可用于队列研究,但更重要的是用于病例对照研究。在少见病,OR可以当作RR去解释,即OR近似于RR。因在此情况下总体内不论暴露组或未暴露组中患病者的人数(分别记为A与B,用大写字母区别于样本数据的小写字母)都远少于未患病者的人数(C与D),所以在总体内A+C→C,B+D→D,于是

因为从随机样本的α/c与b/d可以估计A/C或B/D,所以可用αd/bc估计AD/BC,也就是说可以用OR作为RR的估计值。
暴露组与未暴露组的发病率或死亡率之比称为率比(rate ratio)。两组发病概率之比称为危险度比(risk ratio)。在少见病,这两个比和比数比均近似,可统称为相对危险度。
从OR(或RR)值可估计暴露与疾病的联系程度。这种联系的稳定性,即随机变异的大小可用显著性检验的ρ值和可信限来估计。OR是用来估评暴露与疾病的联系程度或即暴露作用强度的一个点估计值(0~∞),但为估计这个值受随机变异影响的程度,最好同时算出可能包括真值(参数)的一个取值范围,表示以一定程度的信心估计参数值所在的范围,称为可信限或可信区间(confidence interval)。计算方法详见附录五。如果可信限包括了无效值(OR=1),说明该联系无显著性;可信限的宽度又反映点估计值(OR)的稳定性,范围宽说明估计值不稳定,也就是随机变异程度大。所以现在认为仅计算出点估计值的意义有限,应同时计算出其可信限。
2)分层数据分析:病例对照研究在设计阶段可采用的控制混淆因素的方法有限制与匹配。限制是指对采用研究对象的范围加以限制,如混淆因素为列名变量(离散变量)可限定只采用某一类或几类对象(例如性别、职业、地区等),如为连续变量可限定只采用某一范围内(例如年龄组、段)的对象。其目的都是得到比较匀质的研究对象。如果一个因素在各对象间无差别或差别很小,它就不可能起到混淆作用,也就是得到了控制。可在分析阶段采用的控制混淆因素的方法有分层、标准化和多元分析。其中以分层分析最常用。
分层就是把样本按照一个或更多个混淆因子的暴露有无或作用程度而划分为若干个组,也就是“层”,再分别在每一层内分析所研究暴露与疾病的联系,计算各层的比数比(记为OR);
表4-2 第i层内病例与对照按暴露有无分组
组别 |
病倒 |
对照 |
合计 |
暴露 |
αi |
bi |
m1i |
未暴露 |
ci |
di |
m0i |
合计 |
n1i |
n0i |
ni |
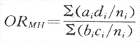
如果各层 具有齐性[齐性检验方法见附录五(一)],则可以计算总的即各层OR的合并OR。因其方法系Mantel与Haenszel两人所开发,所以通常记作ORMH 。因在同一层内作为分层标志的因子对病例组与对照组的作用都是相同的,所以对所研究的暴露与疾病的联系便不会发生混淆作用。其原理与匹配相同,实际上1:1匹配就是一种最细的分层,每层只包括一个病例与一个对照。合并OR是概括各层OR的一个指标。
合并OR的计算方法:

(式4-3)
ORMH可信限的计算方法及计算实例见附录五(一)。
ORMH如果不等于1,那么与1的差异是否显著?可用作显著性检验,其方法如下:

(式4-4)
式中,ai=各层四格表中的a数值,

检验假设(即无效假设)Ho:OR=1,双侧备择假设HA:OR≠1。统计量X2MH呈自由度为1的X2分布。
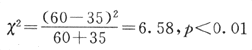
分层分析法举例:某地进行了一次食管癌病因的病例对照研究,共调查病例200例,人群对照776例。现分析其中饮酒与食管癌的联系,结果如表4-3。
表4-3 饮酒与食管癌的联系
饮酒史 |
病倒数 |
对照数 |
合计 |
饮 酒 |
171 |
381 |
552 |
不饮酒 |
29 |
395 |
424 |
合计 |
200 |
776 |
976 |
OR=6.11 χ2=84.29
可见饮酒与食管癌有强联系,但已知吸烟与食管癌也有强联系。为了分析饮酒与食管癌显示出的强联系是否可能与吸烟有关,或吸烟是否可能是一个混淆因子,可采用分层分析:按是否吸烟分为两组,再分析饮酒与食管癌的联系,结果见表4-4。
表4-4 饮酒与食管癌在吸烟与不吸烟者的联系
不吸烟者 |
吸烟者 |
饮酒史 |
病倒 |
对照 |
合计 |
饮酒史 |
病倒 |
对照 |
合计 |
饮 酒 |
69 |
191 |
260 |
饮酒 |
102 |
190 |
292 |
不饮酒 |
9 |
257 |
266 |
不饮酒 |
20 |
138 |
158 |
合计 |
78 |
448 |
526 |
合计 |
122 |
328 |
450 |
OR=10.3 χ2=53.99 OR=3.70 χ2=24.62
计算ORMH ,先用公式(4-3)计算

再用公式(4-4)作χ2检验:
χ2MH=76.84
ρ<0.00000001。用附录五公式(附式5-1)计算ORMH的95%可信限,上限为8.09,下限为3.81。用附录五(一)的Woolf法作各层ORi的齐性检验,结果说明各层间的OR差异显著,来自同一总体的可能性很小,所以ORMH不能说明吸烟、饮酒与食管癌的联系,因此是无意义的。这种齐性检验可同时检验各因素间是否存在交互作用。本例的计算过程及结果解释见附录五(一)的计算实例。
以上关于分析方法的介绍,都是以暴露有无和疾病有无这种最简单的两分变量为例。实际情况常较此复杂,有必要时读者可参考专书。
多个混淆因子如用分层法同时控制多个混淆因子,则分成的层数将很多(例如,年龄分5组,性别分2组,吸烟与否2组,就已有20层),在样本含量不是特别大的情况下,每层的人数将剧减,而且各层中病例数与对照数或与未暴露者数目的比例波动很大,可能出现只有病例而无对照或相反以及人数为零的层,以致统计效率降低,信息丢失。这时应采用多元分析法解决问题。现在借助电子计算机及软件包,已可使过去用手工计算很难进行的几种方法成为普及。多元分析法在样本不是极大的情况下可同时控制多个变量的作用而不影响研究效率。现在应用十分广泛的是多元logistic回归分析。
(2)匹配数据的分析:本书只以1:1匹配的数据为例。数据分析的程序基本上与非匹配数据相同。
1)检验病例与对照的暴露比例是否有显著差别:就每一对中的病例与对照的暴露史而言,可能有四种组合情况(频数记为f ,有暴露记为下标1,无暴露记为下标0):①病例有暴露,对照也有暴露(记为f11);②病例有暴露,对照无暴露(f10);③病例无暴露,对照有暴露(f01);④病例与对照都无暴露(f00)。只有这四种组合,而且四者必居其一。设四种情况的对子各有f11,f10,f01,f00对,则全部数据可用一张四格表归纳(表4-5)。每格的数字代表对子数。
设暴露与患病无联系,即H0:OR=1,x2检验用下式:
表4-5 配对数据的四格表
|
病倒 |
对照 |
合计 |
暴露 |
未暴露 |
暴 露 |
f11 |
f10 |
f11+f10 |
未暴露 |
f01 |
f00 |
f01+f00 |
合计 |
f11+f01 |
f10+f00 |
N |

(式4-5)
自由度=1。此式适用于较大样本。
2)比数比及其可信限的计算:只有病例与对照暴露史不相同的对子(f10与f01),才能提供关于暴露与疾病联系程度的信息。
OR=f10/f01 (f01≠0时)
(式4-6)
OR可信限可用附录五公式(附式5-1)计算。
实倒1:有一项调查心肌梗死与高血压的关系的病例对照研究,用1:1匹配设计,以收缩压(SBP)≥18.6kPa(140mmHg)为高血压。数据如表4-6(虚构)。
表4-6 高血压与心肌梗死的病例对照研究
心肌梗死病倒
|
对 照 |
合计
|
SBP≥18.6 |
SBP<18.6 |
SBP≥18.6 |
15 |
60 |
75 |
SBP<18.6 |
35 |
40 |
75 |
合计 |
50 |
100 |
150 |
用公式(式4-5)作卡方检验:

用公式(式4-6)计算OR:
OR=60/35=1.71
用附录五公式(附式5-1)计算OR的95%可信限:

计算结果说明高血压与心肌梗死有中等程度的联系(OR=1.71)。高血压患者患心肌梗死的危险度较非高血压者约高出70%。OR的可信限不包括1,说明OR值有显著性。
(3)人群归因危险度:在一定条件下,从病例对照研究结果可以算出人群归因危险度,详见“队列研究”。
(三)病例对照研究的偏倚
偏倚问题将在第七章详细讨论。三种主要偏倚,即选择偏倚、信息偏倚、混淆偏倚,在病例对照研究都可能发生。特别是选择偏倚,在医院为基础的病例对照研究更易发生。又因作为一种回顾性调查,特别易受回忆偏倚(信息偏倚的一种)的影响,因为暴露史主要须依靠被调者的回忆,但一些复杂烦锁的问题(如膳食史)很难正确回忆;一些被认为可能与患病有关的暴露史,病例易高估,对照易低估。如果调查员知道谁是病例谁是对照以及病因假设,则易于在调查时态度不同、重点不同,产生诱导作用,从而造成偏倚,称为调查员偏倚。这些都是在设计、执行和分析时应加预防和处理的。
实例2:女青年阴道腺癌(vaginal adenocarcinoma)和母亲妊娠期服用已烯雌酚关系的研究。美国波士顿妇产科医生AL Herbst注意到1966~1969年期间在该市Vincent纪念医院诊断了7例15~22岁的女青年患阴道腺癌。这本是一种罕见的女性生殖系统癌症,发病年龄一般在50岁以上。现在这种明显的时间和地区的聚集性以及大为提早的发病年龄,引起了Herbst医生探究其病因的兴趣。
初步调查结果发现这7例均无使用阴道局部刺激物的历史,除1例于发病后结婚外均否认有性交史。为详细了解这些病例从胚胎期至发病前的情况以及她们的母亲在妊娠期的情况,从而寻找病因线索,Herbst决定作一次病例对照研究。
另外,同时期在另一所医院也诊断了一例20岁的阴道腺癌病人。这样,共有8个病例。每例匹配4个对照。从病例出生的医院保存的出生记录中选择与病例在同等级病房中前后不超过5天出生的女婴作为对照候选人,优先选择与病例出生时间最近者为对照。由经过训练的调查员用调查表对病例、对照以及他们的母亲进行访问调查。
在列入比较的许多因素中,多数在两组间无显著差别。例如,出生时母亲的年龄、母亲吸烟史、哺乳史及X线照射史等。但有3个因素显示显著差别:母亲以前流产史,此次怀孕时阴道出血史,此次妊娠期曾用过已烯雌粉(DES)。三者的关系是:因有前两个因素存在才用DES治疗。尤以DES服用史差别最为明显(x2=23.22, p<0.00001)。
通过8个病例与32个对照的病例对照研究,Herbst等得出结论,母亲在妊娠早期服用DES可使其在子宫内受暴露的女儿以后发生阴道腺癌的危险性增加。
实际上,在妊娠期用过DES的妇女很多,但她们的女儿发生阴道腺癌的危险并不高。病例对照研究结果提供的不是暴露招致的绝对危险度(发病率)而只是相对危险度。
从方法选择上,DES与阴道腺癌的联系问题,还可用历史性队列方法研究:收集在病例诊断前15~25年间曾在妊娠期用过DES的妇女的住院病历,再选择合适的、未用过DES的妇女的病历作为对照组。对两组妇女的女儿们进行随访,确定阴道腺癌的发生率是否有差别。因为这是一种罕见病,这样研究虽然理论上可行,但实际做起来困难很多。至于用前瞻性队列法研究罕见病的病因,虽然理论上也可行,但实际上做不到。因此,可以看出:病例对照法是研究罕见病的最经济最快捷的途径,常常是唯一实际可行的途径。Herbst等只用8个病例与32个对照所完成的病例对照研究就是一个有意义的例子。