第二节 荧光抗体的制备
荧光抗体是免疫荧光细胞化学的重要技术之一,制备高特异性和高效价的荧光抗体必须选用高质量的荧光素和高特异性高效价的免疫血清。
一、荧光素
荧光是指一个分子或原子吸收了给予的能量后即刻引起发光,停止能量供给,发光也瞬时停止(一般持续10-7~10-8s)。可以产生明亮荧光的染料物质,称荧光色素。目前主要常用的荧光色素有以下3种:
(一)异硫氰酸荧光素(Fluorescein isothiocyanate, GITC)
呈黄色、橙黄或褐黄色粉末或结晶,性质稳定,在室温下能保存2年以上,在低温中可保存多年。易溶于水和酒精。最大吸收光谱为490~495nm,最大发射光谱为520~530nm,呈现黄绿色荧光,分子量为398.4(图3-5)。
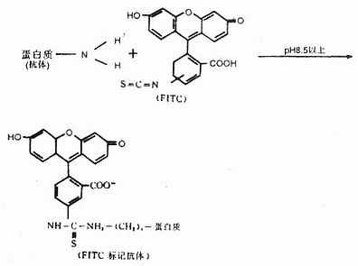
在碱性条件下,FITC的异硫氰酸基在水溶液中与免疫球蛋白的自由氨基经碳酰胺化而形成硫碳氨基键,成为标记荧光免疫球蛋白,即荧光抗体。反应式如下(图3-6):
一个Ig分子上最多能 标记15~20个FITC分子。

图3-5 FITC的吸收光谱和发射光谱

图3-6 抗体的FITC标记反应式
(二)四乙基罗达明(tetraethylrodamine B200, RB200)
呈褐红色粉末,不溶于水,易溶于酒精和丙酮,性质稳定,可长期保存。最大吸收光谱为570nm,最大发射光谱为595~600nm,呈明亮橙红色荧光。分子量为580(图3-7)。
RB200在五氯化磷(PCl5)作用下转变成磺酰氯(SO2Cl),在碱性条件下易与蛋白质的赖氨酸ε-氨基反应结合而标记在蛋白分子上。化学反应式如下(图3-8)。

图3-7 RB200在可见光区的吸收 图3-8 RB200标记抗体反应
光谱和荧光光谱

图3-8 RB200标记抗体反应
(三)四甲基异硫氰酸罗达明(tetramethylrhodamine isothiocyanate, TMRITC)
它是一种紫红色粉末,较稳定。其最大吸收光谱为550nm,最大发射光谱620nm,呈橙红色荧光,与FITC的黄绿色荧光对比清晰(图3-9),与蛋白质结合方式同TITC。它可用于双标记示踪研究。化学结构式如下(图3-10)。

图3-9 TMRITC在可见光区的吸收
光谱和发射光谱

图3-10 TMRITC结构式
二、荧光素标记抗体的方法
(一)FITC标记抗体的方法
1.Marsshall 氏法
(1)材料:抗体球蛋白溶液、0.5mol/l pH9.0碳酸盐缓冲液、无菌生理盐水、异硫氰酸荧光素、1%硫柳汞水溶液、三角烧瓶(25~50ml)、冰及冰槽(或1000ml烧杯)、电磁搅拌器、灭菌吸管、透析袋、玻棒、棉线及烧杯(500ml)、pH7.2或8.0的0.01mol/L PBS等。
(2)方法及步骤:
①抗体的准备:取适量已知球蛋白浓度之溶液,置入三角烧瓶中,加入生理盐水及碳酸盐缓冲液,使最后蛋白浓度为20mg/ml,缓冲液容量为总量的1/10,混匀,将三角烧瓶置冰槽中,电磁搅拌(速度适当以不起泡沫为宜)5~10min。
②荧光素的准备:根据欲标记的蛋白质总量,按每毫克蛋白加0.01mg 荧光素,用分析天平准确称所取所需的异硫氰酸荧光素粉末。
③结合(或称标记):边搅拌边将称取的荧光色素渐渐加入球蛋白溶液中,避免将荧光素粘于三角烧瓶壁或搅拌玻棒上(大约5~10min内加完),加毕后,继续搅拌12~18h。结合期间应保持蛋白溶液于4℃左右,故须及时添冰去水;亦可将结合装置安放在4℃冰箱或冰库中。
④透析:结合完毕后,将球蛋白的溶液离心(2500r/min)20min,除去其中少量之沉淀物,装入透析袋中后再置于烧杯中,用pH8.0缓冲盐水透析(0~4℃)过夜。
⑤过柱:取透析过夜的标记物,过葡聚糖凝胶G-25或G-50柱,分离游离荧光素,收集标记的荧光抗体进行鉴定(图3-11,图-3-12)。

图3-11 Sephadex G-25 对FITC

图3-12 FITC与家兔IgG球蛋白在25℃和2℃时结合的动力学(Kawamura 1964)
洗脱液:0.01mol/L磷酸盐缓冲液(pH7.2);过滤量:12ml标记全球蛋白液(过滤前未透析);收集量:20ml(稀释1.7倍)。
分别以1mgFITC溶于2份1mol 0.5mol/L碳酸重碳酸盐缓冲液(分别为pH9.5和pH9.0),于2℃下搅拌将其各加入100mg家兔IgG生理盐水溶液中,搅匀后立即将每份分为两半。一半保留于2℃下,另一半置25℃下。间隔一定时间后各取出0.5ml通过sephadex G-25去游离FITC,由上计算出5mg家兔IgG结合的FITC量。
2.Chadwick 氏法
(1)材料:抗原球蛋白溶液、异硫氰酸荧光素、3%重碳酸钠水溶液、0.01mol/l Ph8.0磷酸盐缓冲盐水、1%硫柳汞、离心机及离心管、三角烧瓶(25ml)、冰槽、无菌吸管及毛细滴管、烧杯(500ml)、透析袋、棉线、玻棒等。
(2)方法及步骤:
①抗体准备:用0~4℃pH8.0磷酸盐缓冲盐水将球蛋白溶液稀释至浓度为30~40mg/ml,置入三角烧瓶内,放于冰槽中。
②荧光色素准备:按每毫克蛋白加入荧光素0.01mg计算,称取所需之荧光素量,用3%重碳酸钠水溶液溶解。
③将准备之抗体与荧光色素溶液等量混合,充分搅匀,在0~4℃,冰箱中结合18~24h。
④透析和柱层析:方法同Marshall 氏法。
3.改良法(1963年) 根据Marshall 氏法取高价的抗人球蛋白兔免疫血清,分离球蛋白,用盐水(0.15mol/l NaCl)及缓冲液(0.15mol/l NaHCO3 –Na2CO3 PH9.0) 稀释使每毫升内含蛋白10mg,缓冲液为总量的10%,降温至4℃,加入异硫氰酸盐荧光素,(蛋白:荧光素=50~80mg:1mg),在0~4℃下电磁搅拌12~14h。然后用半饱和和硫酸铵将标记球蛋白沉淀分离,除去未结合的荧光素,再用缓冲盐水透析,除去硫酸铵(用Nessler氏试剂测验至隔夜透析之盐水无氨离子及荧光色素为止)。将制备好的荧光抗体加叠氮钠0.01%,分装在1ml安瓿中,或冻干,保存于冰箱中(4℃)可以用半年以上,-20℃保存可达2年以上。
【附一】0.01mol/L pH7.2 PBS 配法:NaCl 18g 、Na2HPO41.5g、KH2PO40.2g,溶于2000ml蒸馏水中,校定pH至7.2。
【附二】0.5mol/L pH9.0碳酸盐缓冲液配法:取0.5mol/l Na2CO3(5.3%)10ml加入0.5mol/l NaHCO3(4.2%)90ml,混合后,校定pH至9.0。
【附三】3%重碳酸钠水溶液配法:称1.5g无水重碳酸钠充分溶解于50ml灭菌蒸馏水中即成。
4.透析标记法 此法适用于小量抗体的荧光素标记,标记简便,非特异性染色较少。
(1)用0.025mol/L碳酸盐缓冲液pH9.0,将欲标记免疫球蛋白稀释成1%浓度,装入透析袋中。
(2)用同一缓冲液将FITC配成0.1mg/ml的溶液,按1%球蛋白液体积的10倍,将FITC稀释液盛于圆柱形容器内,并使透析袋浸没于FITC液中。容器顶端盖紧,底部放搅拌棒,在4℃电磁搅拌下,透析标记24h。取出透析袋中标记液,即刻用sephadex G-50 凝胶过滤,去除游离荧光素,分装、贮存于4℃中(图3-13)。

图3-13 标记抗体溶液通过sephadex 产胶柱层析分布
(二)四乙基罗达明标记抗体方法
取1g RB200及PCL52g放在乳钵中研磨5min(在通风橱中)。然后加入10ml无水丙酮,放置5min,不断搅拌。过滤,用滤液进行标记抗体。剩余部分吸附在滤纸上,4℃干燥保存。
取抗体(20mg/ml)每毫升加入生理盐水和0.5mol/l pH9.0的碳酸盐缓冲液各1ml稀释。逐滴加入0.1ml RB200溶液,边加入边搅拌,在0~4℃中结合12~18h,再用生理盐水透析5~7h,经葡聚糖凝胶G-50柱层析,除去游离荧光素,分装,贮存于4℃备用。
(三)四甲基异硫氰酸罗达明标记抗体方法
(1)Igg 10ml (6mg/ml)在0.01mol/l pH9.5碳酸盐缓冲液中透析过夜。
(2)将四甲基异硫近氰酸罗达明(每毫克IgG加入5~20μg)溶于二甲亚砜(1mg/ml),取此溶液300μl,一滴一滴加入蛋白质溶液中,同时电磁搅拌。
(3)在室温中搅拌2h,避光。
(4)把结合物移入直径3cm,高30cm大小的Bio –Gel P-6层析柱(用0.01mol/l pH8.0的PBS平衡过),流速为1.5ml/min。
(5)收集先流出的红色结合物,即为标记抗体,分装,4℃保存备用。
(四)藻红蛋白标记抗体的方法
1.巯基化藻红蛋白(phycoerthrin PE)的制备,600μl的15.5mg/ml盐酸巯醇亚胺(iminothiolane hydrochloride)加到1.2ml的3.6mg/ml的PE中,和1.2ml PB、pH6.8 混合,装入透析袋置入50mmol/l pH6.8 PB中透析,4℃过夜,再换用pH7.5PB透析6h。每个PE分子中可结合8个巯基。
2.PE-IgG制备 异双功能试剂SPDP[n - Succ - inimdyl 3-(2-pyridyldlthio) propinate ] 30μl (1.1mg/ml)的乙醇溶液,加入700μl的4.2mg/ml IgG PB溶液(50mmol/l pH7.5),在室温中反应2.5h。再加入巯基化Pe 400μl(1.7mg/ml)加到500μl反应混合液中,室温反应12h,加入100μl的50mmol/L碘乙酸钠封闭残余巯基,用PB透析过夜,4℃。加入0.01%Na3N3分装,4℃保存半年。
(五)PE-标记蛋白A方法
(1)取4.08mg PE溶于0.1mol/l pH7.4PB(含0.1mol/l NaCl)1ml中,溶解后,取出0.5ml,再加入10μlSPDP无水甲醇液(2.65mg/ml),SPDP/蛋白摩尔比为10,22℃反应5min,过Sephadex G-50(1×17cm),用100mmol/l pH7.4 PBS(含0.1mol/l NaCl)平衡和洗脱。
(2)0.5ml蛋白(2mg/ml)100mmol/l PB(含有100mmol/l NaCl) pH7.4,加入2.6μl上述SPDP甲醇液,SPDP:蛋白=9.5,22℃,40min ,加入25μmol/L二硫苏糖醇(DTT)pH7.4缓冲液,22℃,25min,同上过Sephadex G-50,收集蛋白A峰。
(3)取0.77mg/ml的PE和0.27mg/ml蛋白A等量混合,22℃反应6h,混合物4℃保存备用。
以上两种PE标记制品,可最后溶于0.01mol/l pH7.4PB(含有0.1mol/l DETA、1mol/L碘乙酰胺、1%BSA 和0.1%NaN3),0~5℃保存。
(六)蓝色荧光素标记抗体方法
Kbaffan等(1986)首先创立了蓝色荧光素标记和染色技术,可进行双标记或多标记。
(1)取7-氨基-4-甲基香豆素(7-amino-4-methyl coumarin, AMC)260μg溶于二甲亚砜25μl中。
(2)将上液加入10ml IgG的 巴比妥缓冲液(0.5mol/L,pH8.5,内含50~100mg IgG)中,室温反应2h,过Sephadex G-50除去游离荧光素。
AMC呈黄色结晶固体,最大吸收波长354nm,最大荧光波长430nm。
三、荧光抗体质量控制
对制备的荧光抗体必须进行质量鉴定,主要进行特异性和敏感性两个方面的鉴定。
(一)染色特异性和敏感性的测定
1.特异性染色效价的测定 直接染色以倍比稀释荧光抗体溶液如1:2,1:4,1:8……,与相应抗原标本作一系列染色,荧光强度在“+++”的最大释释度,即为该荧光抗体的染色滴度(效价)或单位。实际染色应用时,可取低一个或两个稀释度(即2~4个单位),如染色效价为1:64,实际应用时可取1:32或1:16。间接染色效价可按抗核抗体荧光染色法步骤,先用不同稀释度的荧光抗体染色,结果以抗核抗体荧光强度“++”为标准,染色用效价和直接法相同。
2.非特异性染色测定 根据荧光抗体的用途不同,可用相类似的抗原切片或涂片,倍比稀释荧光抗体,按常规染色,结果在标本上出现的非特异染色应显著低于特异染色滴度,否则应采取消除非特异性染色的方法处理荧光抗体。
3.吸收试验 在荧光抗体中加入过量相应抗原,于室温中搅拌2h后,移入4℃中过夜,3000r/min,离心30min,收集上清液,再用以染相应抗原阳性标本,结果应不出现明显阳性荧光。
4.抑制试验如前述。
(二)F/P比值的测定
F(荧光素)和P(抗体蛋白)的克分子比值反映荧光抗体的特异性染色质量,一般要求F/P的克分子比值为1~2。过高时,非特异性染色增强;过低时,荧光很弱,降低敏感性。
1.蛋白质定量 测定荧光抗体的蛋白质mg/ml量。
2.结合荧光素定量 先制作荧光素定量标准曲线,即准确称取FITC1mg,溶于10ml 0.5mol/L pH9.0碳酸盐缓冲液中,再用0.01mol/l pH7.2PBS稀释到100ml,此时荧光素含量为10 μg/ml,以此为原液,再倍比稀释9个不同浓度的溶液,用分光光度计在490nm波长测定光密度值(OD),以光密度为纵坐标,荧光素含量为横坐标,作标准函数图。
荧光素与蛋白质结合后,其吸收光谱峰值向长波方向位移约5nm,FITC和蛋白质结合后由490nm变为493~495nm,RB200和蛋白质结合后变为595nm。
F/P比值的计算:可按以下公式计算。

式中160000为抗体蛋白质的分子量,390为FITC的分子量。蛋白质从克换算为毫克需再乘以103,而荧光素从克换算为微克需要再乘以106。
测定RB200荧光抗体的克分子比值公式如下:

按图3-4测定法更为简便,即先用276nm波长测得蛋白质的OD值,再用493波长测得FITC的OD值,将这两个OD值在图3-14上连成一直线,直线与各纵线交叉处,即可查出标记抗体的以下数值:FITc μg/ml ,F/P 的μg/mg,F/P的克分子比值,蛋白mg/ml等。

图3-14 FITC标记物中球蛋白、荧光色素和E/P比值计算图
四、荧光抗体的保存
以0~4℃或-20℃低温保存,防止抗体活性降低和蛋白变性。最好加入浓度为1:5000~10000的硫柳汞或1:1000~5000的叠氮钠防腐,小量分装如0.1~1ml,真空干燥后更易长期保存。