5.6 维生素B1
5.6.1 结构与性质
维生素B1又称硫胺素(Thiamine VB1),在室温下与中性亚硫酸钠溶液中分解嘧啶和噻唑两部分(图5-10)。它与焦磷酸生成硫胺素焦磷酸(Thiamine pyrophosphate,TPP),即羧化辅酶(cocarboxylase),这个反应需要ATP参加,结构式见图5-11。TPP参与糖代谢中α酮酸的氧化脱羧作用。

图5-10 维生素B1经Na2SO3分解为嘧啶和噻唑

图5-11 羧化辅酶(TPP)的结构式

图5-12 硫色素分子式
维生素B1盐酸盐1g先溶于1ml水中,可在酒精中形成1%溶液,不溶于其他有机溶媒中。PH7时水溶液的紫外线吸收高峰为235,267nm,相当于嘧啶及噻唑两部分。在PH1时,只有1个高峰在247nm处,在260mn处有一个肩,也相当于这二个组成部分。在高温时,尤其在碱性溶液中,非常容易破坏,但在PH5以下易破坏。在碱性溶液中,在氧化剂(如高铁氰酸钾)可将维生素B1氧化为硫色素(Thiochrome),据此可用以测定VB1(图5-12)。
人工合成的VB1衍生物有丙基硫胺素二硫化物(Thiamin propyl disulfite,TPD)及4氢糖醛二硫硫胺素(thiamin tetrahydrofurfural disulfide TTFDD),不溶于水,被硫胺素酶破坏较少。口服后,血、组织及脑脊髓液中维生素B1的水平较服用维生素B1时要高甚至可高10倍。在消化道中也易吸收。因此这些衍生物常在临床上应用。有些衍生物如吡啶硫胺素(pyrithiamino)及氧代硫胺素有抗维生素B1作用,前者使大脑中维生素B1易于空竭,后者可导致除神经系统外其他系统的维生素B1缺乏症状。
5.6.2 代谢
维生素B1在小肠中吸收,浓度高时为扩散,低时为主动吸收,需要钠离子及ATP,缺乏钠离子及ATP酶可抑制其吸收。低水平时吸收约57.5%,高时约26.2%。维生素B1进入到小肠细胞磷酸化成酯,从小肠细胞出去,也需要正常浓度的钠离子及ATP酶。叶酸缺乏可影响维生素B1的吸收。
体内约有维生素B130mg,50%在肌肉中,骨骼、心、肝、肾及脑中较多,体内维生素B1的80%为TPP,10%为硫胺素三磷酸(TTP),还有一些硫胺素单磷酸及维生素B1。体内有三种酶参与形成上述的硫胺素磷酸化合物:硫胺素焦磷酸催化硫胺素与ATP作用形成TPP;TPP-ATP磷酸转移酶催化TPP+ATP→TPP;及硫胺素焦磷酸酶参与TPP→TMP的反应。
大鼠及人尿中有许多硫胺素代谢物,已知结构者仅6种,其中2-甲基4-氨基5嘧啶羧酸,4-甲基噻唑5-醋酸及硫胺素醋酸为最主要者。在大鼠中经酒精脱氢酶的作用,可以将硫胺素及噻唑氧化到相应的要酸。
5.6.3 生理功能
(1)硫胺素焦磷酸为羧化酶的辅酶,其作用机理如图5-13。
①在微生物中,丙酮酸脱羧变为乙醛而放出CO2。
②乙酰羧基酸的合成:乙酰羧基酸为合成支链氨基酸(缬氨酸,异亮氨酸等)的中间体。
③作为磷酸戊糖旁路中转酮酶的辅酶 糖的无氧酵解及有氧氧化是动物体内糖分解代谢的主要途径,但还有一部分经磷酸戊糖旁路代谢,在肝中他只占酵解及氧化途径的8%。其特点是通过脱氢与脱羧反应生成CO2及磷酸甘油醛及6-磷酸果糖,后二者仍进入酵解途径,其过程为葡萄糖磷酸化变为6-磷酸葡萄糖(G-6-P),在G-6-P脱氢酶的催化下,脱氢与水化合成6-磷酸葡糖酸,再经脱氢与脱羧等反应生成5-磷酸核酮酸,又转变为5-磷酸木酮糖及5-磷酸核糖,通过转酮糖酶(需要TPP,Mg2+)将酮糖上的二碳单位转移到另一个醛糖的1-C上,这个反应是可逆的,在这个循环上形成7C、6C、5C及4C磷酸单糖。

图5-13 维生素B1焦磷酸羧化酶的作用机制

图5-14 磷酸戊糖途径
这个代谢的主要生理功能是产生核糖及NADPH。它是由葡萄糖产生5-磷酸核糖的唯一途径。在这个代谢中二脱氢酶(6-磷酸葡萄糖脱氢酶和6-磷酶葡糖酸脱氢酶)都是以NADP为辅酶,还原为NADPH。它为体内许多反应的供氢体,如脂肪酸、胆固醇、类固醇的合成都需要它,所以在上述反应比较旺盛的脂肪组织、哺乳期乳腺、肾上腺皮质、睾丸及肝脏等,这种代谢也比较旺盛。遗传性6-磷酸葡萄糖脱氢酶缺乏的病人,不能进行磷酸戊糖旁路循环,NADPH缺乏与GSH量低下,红细胞很易破坏而发生溶血性贫血。
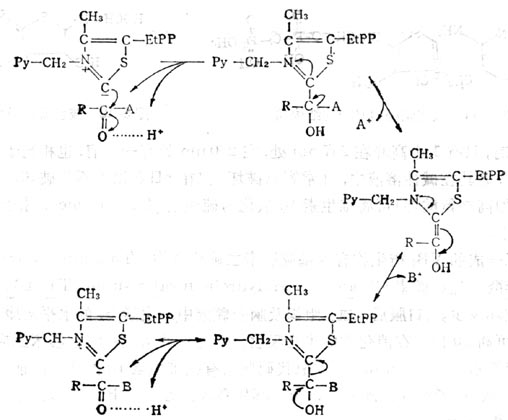
④α酮脱氢酶(如丙酮酸、α-酮戊二酸)系统中的辅酶,这类酶系统分三步作用(图5-15)。

图5-15 -酮脱氢酶的作用
A 形成“活性醛”中间物,基质为α-酮酸与酶1(α-酮脱氢酶以硫胺素焦磷酸为辅酶)作用,脱羧后形成中间物。丙酶酸与酶作用的中间物为2-(羧乙基)硫胺素焦磷酸,α-酮戊二酸的中间物为2-(1,3羧基丙基)硫胺素焦磷酸。
B 将上述中间物转移至酶2的硫辛酸上。
C 将酰基转移至辅酶A上,而双氢硫辛酸被酶3脱氢形成硫辛酸。
(2)硫胺在神经生理上的作用 一个神经冲动可以使维生素B1磷酸化合物去磷酸,并使其在膜上位移,Na+得以自由通过膜,但有神经生理活性的维生素B1衍生物是焦磷酸衍生物还是三磷酸衍生物,现在尚不能肯定,对大脑功能作用,可能由于对5-羧色胺的纳入及磷脂合成有影响。
(3)硫胺素与心脏功能的关系 维生素B1缺乏引起心脏功能失调不是直接的作用,可能由于维生素B1缺乏使血流入到组织之量增多,使心脏输出增加负担过重,或由于维生素B1缺乏,心肌能量代谢不全。
5.6.4 猪牛肉、肝、肾等,全麦、糙米、新鲜蔬菜,豆类等富含维生素B1但是食物中有些因子可使维生素B1构造改变,活力减低。这种抗维生素B1的因子分二种:一种易被热破坏,如硫胺素酶Ⅰ及Ⅱ,前者在淡水鱼及贝类内脏内,催化硫胺素的分解。后者存于某些生物中,催化维生素B1的分解,对热稳定的抗维生素B1因子存在于植物中,它可能与3,4双羧基肉桂酸和单宁酸有关。低维生素B1摄取量的人群,如果多吃些抗B1因子,可导致维生素B1缺乏。
谷类在除去麸皮与糖的过程中,维生素B1损失很多,国外对精加工后的面粉都强化维生素与矿物质使其量相当于粗制品,这点应引起我国食品工业部门及消费者的注意,烹调加碱可使维生素B1损失。
5.6.5 需要量
评定维生素B1营养状况的指标一般以尿中排出量为准,可以用每克肌酐排出的维生素B1表示之。红细胞的转酮酶以维生素B1为辅酶,也用以测定人体的维生素B1营养状态。
成人维生素B1需要量为1.26~1.47mg·1000Kj-1,在这种摄取量的情况下,每日尿排出量为40~90ug,若摄取量增加到2.1mg·1000Kj-1,每日尿排出量为100ug或以上。若摄取量减低到0.84 mg·1000Kj-1,尿排出量为5~25ug。脚气病患者可低至0~15ug或以上。我国及美国提出供应量为2.1mg·1000Kj-1。老人利用硫胺素的效率较低,所以为4.2 mg·1000Kj-1。男性成人每日1.2~1.5mg,女1.0~1.1mg,孕妇与乳母将其供应量增加0.3mg,儿童供应量0~6个月0.3mg,6个月~1周岁0.5mg,1~3周岁0.7mg,4~6岁0.9mg,7~10岁1.2mg,男11~14岁1.4mg,女11~14岁1.2mg。饮酒过量者维生素B1需要量增加,动物试验说明维生素B1缺乏者,酒精自由饮用量增加,长期饮酒者可以导致不良饮食习惯或者干扰肠对维生素B1的吸收。
5.6.6临床应用
单纯维生素B1缺乏可用生理剂量治疗。有些先天性代谢上需要维生素B1的疾病需要用药理剂量,如需要维生素B1的巨红细胞贫血,乳酸尿(肝中丙酮酸脱羧酶活力低),支链酮酸尿(支链酮酸脱氢酶活力低)及亚急性坏死性脑脊髓病)(神经系统中缺乏TTP)。在这些病的治疗中,用不溶于水的维生素B1衍生物(如TPD,TTFD)比用维生素B1的效果要好。
静脉注射过量维生素B1可因呼吸中枢压抑而致死,其致死量每公斤体重:小鼠125mg,大鼠250mg,兔子300mg,狗350mg。静脉、皮下及口服致死量这比例为1:6:40。猴子注射每公斤体重600mg时,可产生中毒现象。人口服大剂量维生素B1,未发生过中 毒症象。皮下、肌肉、脊椎、静脉内每日注射正常量的1~200倍时,亦未发生中毒现象。但有些人接受大剂量后,发生过敏性休克。