在医学教学、科研和医学工作中,不论是从事基础医学的还是临床医学、预防医学,都需要用实验动物来进行各种实验。通过对动物的实验的观察和分析,来研究和解决医学上存在的许多问题,动物实验方法已成为医学科学研究和教学工作中必不可少的重要手段。动物实验方法是多种多样的,在医学的各个领域内都有其不同的应用,其中一些基本方法都是共同性的,如动物的选择、抓取、固定、麻醉、脱毛、给药、采血、采尿、急救、处死、尸检等,不管是从事何种课题的医学研究都要用这套基本方法,因此,动物实验基本方法,已成为医学科技工作者必须掌握的一项基本功。
动物实验按机体水平不同的可分为整体实验和离体实验两种,还可进一步具体地分为亚细胞、细胞、组织、器官,整体动物和无损伤动物等水平的实验。按动物实验的时间长短可分为急性实验(2天以内)、亚急性实验(1~4周)和慢性实验(2~6个月或更长时间甚至整个生命期)。
动物实验的方法很多,如有生理学的动物实验方法;病理生理学的动物实验方法;药理学的动物实验方法;病理解剖学、组织学的动物实验方法;微生物学和免疫学的动物实验方法等等。下面举一些动物实验的常用方法:
1.复制动物模型法此法是动物实验最基本的方法,是采用人工的方法使动物在一定致病因素(机械、化学、生物和物理)作用下,造成动物的组织,器官或全身的一定损伤,复制成与人类疾病相似的动物疾病模型,来研究各种疾病的发生、发展规律及防治方法。
2.切开、分离法此法是以活体动物为对象的整体实验常用方法。习惯上把在麻醉情况下,制备一些实验条件(如活体解剖、分离暴露器官、组织或进行一些手术制备等措施)进行研究者称“急性动物实验”。其优点是比较简便,操作后可以即进行观察,实验条件相对地较易控制,对要研究的器官,有可能直接观察。但存在着麻醉、手术创造及存活时间较短等因素,也会对实验结果带来一定的影响。因此采用此法应注意麻醉深度更适中,手术要轻巧,少出血、减少创伤,并要熟悉手术部位的神经、血管等解剖。
3.切除和注入提取液法常用于研究内分泌器官的生理和病理病变,如研究切除某一腺体后看辐射对机体的影响,切除某一腺体后看出现什么症状而推论这种腺体的功能;如蝌蚪无甲状腺素,如注入甲状腺素,蝌蚪很快变成了蛙。
4.离体组织器官法离体实验是利用动物的离体组织、器官或生物性致病因子(微生物、寄生虫等),置于一定的存活条件下(如温度、营养成分、氧气、水、pH等)进行观察的一种实验方法。如可利用离体肠管观察药物对肠管动物、吸收、通透性、血流情况等的影响,并进行作用机理的分析;利用离体胆囊来筛选引起胆囊舒缩的药物;利用大肠杆菌或其它细菌进行药物敏感性实验。寻找抑制细菌生长的药物,并研究其作用规律,以便为胆道感染的防治提供线索。动物组织、细胞的培养也常用此种方法。离体实验的优点是方法比较简单,一般不需要很复杂的仪器设备。实验条件比较容易控制,牵涉的人力较少,因此常被列为分析性研究的一种手段。不足之处是模拟的存活条件毕竟与整体的实际情况有较大的出入,其结果也往往与体内的变化有一定距离,因此可以作为整体研究的补充和参考。
5.瘘管法用无菌手术方法给动物造成不同的人造瘘管如胃肠道瘘管、膀胱瘘管、唾液腺瘘管、食道瘘管、胆囊瘘管等。这些瘘管可以收集内脏液体,是生理学消化研究的主要方法。此种方法是慢性动物实验所常用的方法。慢性动物实验一般是先在无菌操作下制备好实验模型(瘘管法是其中一种),待动物恢复健康后进行研究。这类研究方法的优点在于被研究的对象,其机体内外环境已处于较自然的相对平衡状态,条件比较稳定,所得的结果接近生理情况。但需要事先制备,术后护理,等动物恢复健康后才能从事实验,花费时间较长,工作量较大,因而在选用上受到一定限制。除了用手术制备的动物实验外,运用药物或食铒等措施制备病理模型,如诱发各种实验性动物疾病模型的方法也可归为慢性动物实验。
6.移植法一般是将动物的器官、组织或细胞进行相互移植的一种方法。如骨髓移植时,将小鼠A(供体)的骨髓注入到小鼠B的血液中(受体),很快可见脾结节化(脾造血)。脾结节的数量反应了造血干细胞的多少,由此可以观察干细胞的变化。各小鼠之间的骨髓移植叫同种骨髓移植,同一品系小鼠内各小鼠之间的骨髓移植叫同系骨髓,小鼠骨髓移植给大鼠则叫异种骨髓移植。动物各种组织、器官的移植也是实验研究中常用的方法。
7.生物电、活性观察法对动物体各种生物电用电生理记录仪进行观察记录,如心电、肌电、脑电等;对动物组织中各种活动物质用生物化学法测定,如各种酶,激素等。
8.病理解剖学、组织学观察法采用肉眼观察、光镜和电镜检查,来观察、分析动物各种疾病时病理组织学改变。可从组织学的角度来探讨疾病防治机理,例如通过阑尾组织节片和肉眼观察,分析口服中药、针刺或局部敷药对有炎症阑尾的影响,阐明不同证型时阑尾变化的病理学特点以及某些病人用中西医结合非手术治疗后复发的原因。近年来由于电子显微技术的进展,不仅可以观察到病变时细胞内细胞器等亚细胞结构的变化,而且也可以运用电子扫描方法对动物器官的微小结构进行完整的表层观察。
9.免疫学观察法注入抗原使动物致敏,制备各种抗血清,如常选用新西兰或大白耳家兔制备病原体免疫血清、间接免疫血清、抗补体抗体血清、抗组织免疫血清等。采用免疫荧光技术、酶标记免疫技术、放射免疫测定技术、免疫电镜技术等对动物免疫后各种免疫变化进行检查。
10.其它方法如联体动物法,条件反射法、生物遗传法、放射生物法、药物化学等等。
动物实验的基本操作技术方法,根据实验顺序分述如下:
正确的抓取固定动物,是为了不损害动物健康,不影响观察指标,并防止被动物咬伤,保证实验顺利进行。抓取固定动物的方法依实验内容和动物类而定。抓取固定动物前,必须对各种动物的一般习性有所了解,抓取固定时既要小心仔细,不能粗暴,又要大胆敏捷,确实达到正确抓取固定动物的目的。
(一)小鼠抓取固定方法
小鼠温顺,一般不会咬人,抓取时先用右手抓取鼠尾提起,置于鼠笼或实验台向后拉,在其向前爬行时,用左手拇指和食指抓住小鼠的两耳和颈部皮肤(见图11-1之一),将鼠体置于左手心中,把后肢拉直,以无名指按住鼠尾,小指按住后腿即可(图11-1之二)。人经验者直接用左手小指钩起鼠尾,迅速以拇指和食指、中指捏住其耳后颈背部皮肤亦可。这种在手中固定方式,能进行实验动物的灌胃、皮下、肌肉和腹腔注射以及其他实验操作。如进行解剖、手术、心脏采血和尾静脉注射时,则需将小鼠作一定形式的固定,解剖手术和心脏采血等均可使动物先取背卧位(必要时先行麻醉),再用大头针将鼠前后肢依次固定在腊板上。尾静脉注射时,可用小鼠尾静脉注射架固定(图11-2),先根据动物大小选择好合适的固定架,并打开鼠筒盖,手提鼠尾巴,让动物头对准鼠筒口并送入筒内,调节鼠筒长短合适后,露出尾巴,固定筒盖即可进行尾静脉注射或尾静脉采血等操作。

图11-1小鼠的抓取固定方法

图11-2 小鼠尾静脉注射方法
(二)大鼠的抓取固定方法
大鼠的抓取斯基本同小鼠,只不过大鼠比小鼠牙尖性猛,不易用袭击方式抓取,否则会被咬伤手指,抓取时为避免咬伤,可带上帆布手套。如果进行腹腔、肌肉皮下等注射和灌胃时,同样可采用左手固定法,只是用拇指和食指捏住鼠耳,余下三指紧捏鼠背皮肤,置于左掌心中,这样右手即可进行各种实验操作。也可伸开左手之虎口,敏捷地从后,一把抓住。若做手术或解剖等,则需事先麻醉或处死,然后用细棉线绳活缚腿,背卧位绑在大鼠固定板上;尾静脉注射时的固定同小鼠(只需将固定架改为大鼠固定盒即可)。
(三)蛙类的抓取固定方法
蛙类抓取方法宜用左手将动物背部贴紧手掌固定,以中指、无名指、小指压住其左腹侧和后肢,拇指和食指分别压住左、右前肢、右手进行操作(图11-3)。

图11-3 蛙、蟾蜍抓取固定方法
在抓取是蟾蜍时,注意勿挤压其两则耳部突起之毒腺,以免毒液射进眼中。
实验如需长时间观察,可破坏其脑脊髓(观察神经系统反应时不应破坏脑脊髓)或麻醉后用大头针固定在蛙板上。依实验需要采取俯卧位或仰卧位固定。
(四)豚鼠的抓取固定方法
豚鼠较为胆小易惊,不宜强烈刺激和受惊,所以在抓取时,必须稳、准和迅速。一般抓取方法是:先用手掌迅速扣住鼠背,抓住其肩胛上方,以拇指和食指环握颈部,另一只手托住臀部(图11-4)。固定的方式基本同大鼠。

图11-4 豚鼠的抓取固定方法
(五)兔的抓取固定方法
1.抓取:实验家兔多数饲养在笼内,所以抓取较为方便,一般以右手抓住兔颈部的毛皮提起,然后左手托其臀部或腹部,让其体重重量的大部分集中在左手上(图11-5),这样就避免了抓取过程中的动物损伤。不能采用抓双耳或抓提腹部。
2.固定:一般将家兔的固定分为盒式、台式和马蹄形三种。盒式固定(图11-6),适用于兔耳采血、耳血管注射等情况;若做血压测量、呼吸等实验和手术时,则需将兔固定在兔台上(图11-7),四肢用粗棉绳活结绑住,拉直四肢,将绳绑在兔台四周的固定木块上,头以固定夹固定或用一根粗棉绳挑过兔门齿绑在兔台铁柱上;马蹄形固定(图11-8)多用于腰背部,尤其是颅脑部位的实验,固定时先剪去两侧眼眶下部的毛皮,暴露颧骨突起,调节固定器两端钉形金属棒。使其正好嵌在突起下方的凹处,然后在适当的高度固定金属榛。用马蹄形固定器可使兔取用背卧位和腹卧位,所以是研究中常采用的固定方法。

图11-5 家兔抓取方法
1、2、3均为不正确的抓取方法(1.可损伤两肾,2.可造成皮下出血,3.可伤两耳),4、5为正确的抓取方法。颈后部的皮厚可以抓,并用手托兔体。

图11-6 家兔盒式固定法

图11-7 家兔台式固定法
(六)狗的抓取固定方法
未经训练用于急性实验的狗性凶恶,能咬人,因此进行实验时第一个步骤就是要绑住狗嘴。驯服的狗绑嘴时可从侧面靠近轻轻抚摸其颈背部皮毛,然后迅速用布带缚住其嘴。方法是用布带迅速兜住狗的下颌,绕到上颌打一个结,再绕回下颌下打第二结,然后将布带引至头后颈项部打第三个结,并多系一个活结(以备麻醉后解脱)。注意捆绑松紧度要适宜(图11-9),倘若此举不成,应用狗头钳夹住其颈部,将狗按倒在地,再绑其嘴。如实验需要静脉麻醉时,可先使动物麻醉后再移去狗头钳,解去绑嘴带,把动物放在实验台上,然后先固定头部,再固定四肢。

图11-8家兔马蹄形固定

图11-9 狗嘴捆绑法
1.头部固定:固定狗头需用一特制的狗头固定器,狗头固定器为一圆铁圈,圈的中央有一弓形铁,与棒螺丝相连,下面有一根平直铁闩。操作时先将狗舌拉出,把狗嘴插入固定器的铁圈内,再用平直铁闩横贯于犬齿后部的上下颌之间,然后向下旋转棒螺丝,使弓形铁逐渐下压在动物的下颌骨上,把铁柄固定在实验台的铁柱上即可。
2.四肢固定:如采取仰卧位,四肢固定方法与家兔相同。
动物在实验前常常需要作适当的分组,那么就要将其标记使各组加以区别。标记的方法很多,良好的标记方法应满足标号清晰、耐久、简便、适用的要求。
常用的标记法有染色、耳缘剪孔、烙印、号牌等方法。
(一)颜料涂染
这种标记方法在实验室最常使用,也很方便。使用的颜料一般有3-5%苦味酸溶(黄),2%硝酸银(咖啡色)溶液和0.5%中性品红(红色)等。标记时用毛笔或棉签蘸取上述溶液,在动物体的不同部位涂上斑点,以示不同号码。编号的原则是:先左后右,从上到下。一般把涂在左前腿上的计为1号,左侧腹部计为2号,左后腿为3号,头顶部计为4号,腰背部为5号,尾基部为6号,右前腿为7号,右侧腰部为8号,右后腿计为9号。若动物编号超过10或更大数字时,可使用上述两种不同颜色的溶液,即把一种颜色作为个倍数,另一种颜色作为十位数,这种交互使用可编到99号,假使把红的记为十位数,黄色记为个位数,那么右后腿黄斑,头顶红斑,则表示是49号鼠(图11-10),其余类推。

图11-10颜色被毛涂擦标记法
(二)烙印法
用刺数钳在动物耳上刺上号码,然后用棉签蘸着溶在酒精中的黑墨在刺号上加以涂抹,烙印前最好对烙印部位预先用酒精消毒。
(三)号牌法
用金属制的牌号固定于实验动物的耳上,大动物可系于颈上。
对猴、狗、猫等大动物有时可不做特别标记,只记录它们的外表和毛色即可。
动物实验时,常常需要将选择好的实验动物,按研究需要分成若干个组,分组时为了避免人为的因素影响常应用随机数字表进行完全随机化的分组。
1.将实验单位随机分成两组 设有小鼠14号,试用随机数字表将其分成两组。先将小鼠依次编为1、2、3……14号,然后任意从随机数字表的某一行某一数字开始抄录14个数,编排如下:
| 动物编号 | 1 | 2 | 3 | 4 | 5 | 6 | 7 | 8 | 9 | 10 | 11 | 12 | 13 | 14 |
| 随机数目 | 16 | 22 | 77 | 94 | 39 | 49 | 54 | 43 | 54 | 82 | 17 | 37 | 93 | 23 |
| 归 组 | B | B | A | B | A | A | B | A | B | B | A | A | A | A |
现令单数代表A组,双数代表B组,结果列入A组的动物有8只,列入B组的动物有6只。如要使两组相等,须将A组减少一只,划入B组。应把哪一只小鼠划入B组,仍可用随机数字表,在上述抄录的14个数后面再抄录一个数字为78,此数以8除之,因为归入A组的小鼠有8只,故以8除,得余数6。于是把第6个A(即编写为第12号的小鼠)划给B组。经过这样调整,两组小鼠的分配如下。
| A组: | 3 | 5 | 6 | 8 | 11 | 13 | 14 |
| B组: | 1 | 2 | 4 | 12 | 7 | 9 | 10 |
2.将实验单位随机分成三组 设有动物15只,随机等分成A、B、C三组。将动物编号后,按上述方法,从随机数字表抄录15个数字,将各数一律以3除之,并以余数1、2、3代表A、B、C,结果归入A组的动物6只,归入B组的动物4只,归入C组的动物5只,即:
| 动物号码 | 1 | 2 | 3 | 4 | 5 | 6 | 7 | 8 | 9 | 10 | 11 | 12 | 13 | 14 | 15 |
| 随机数目 | 18 | 62 | 40 | 19 | 12 | 40 | 83 | 95 | 34 | 19 | 44 | 91 | 69 | 03 | 30 |
| 除了后的余数 | 3 | 2 | 1 | 1 | 3 | 1 | 2 | 2 | 1 | 1 | 2 | 1 | 3 | 3 | 3 |
| 归 组 | C | B | A | A | C | A | B | B | A | A | B | A | C | C | C |
要使三组的动物数相等,须把原归A组的6只动物中的1只改配到B组去。可以随机数字表继续按斜角线抄录一个数字,得60,以6除之,除尽(相当于余数为6),就可以把第六个A(即12号)动物改为B组。调整后各组的动物编号如下:
| A组: | 3 | 4 | 6 | 9 | 10 |
| B组: | 2 | 7 | 8 | 11 | 12 |
| C组: | 1 | 5 | 13 | 14 | 15 |
动物的被毛常能影响实验操作和结果的观察,因此实验中常需去除或剪短动物的被毛。除毛的方法有剪毛、拔毛和脱毛三种。
剪毛:固定动物后,用粗剪刀剪去所需部位的被毛。剪毛时需注意以下几点:
⑴把剪刀贴紧皮肤剪,不可用手提起被毛,以免剪破皮肤;
⑵依次剪毛,不要乱剪;
⑶剪下的毛集中放在一个容器内,勿遗留在手术野和兔台周围,以保证手术野的清洁和防止注射器等夹毛。
拔毛:兔耳缘静脉注射或取血时以及给大、小白鼠作尾静脉注射时,需用拇指、食指将局部被毛拔去,以利操作。
脱毛:脱毛系指用化学药品脱去动物的被毛,适用于无菌手术野的准备以及观察动物局部皮肤血液循环和病理变化。
常用脱毛剂的配方:
⑴硫化钠3g、肥皂粉1g,淀粉7g,加水适量调成糊状。
⑵硫化钠8g、淀粉7g、糖4g、甘油5g、硼砂1g,加水75ml。
⑶硫化钠8g,溶于100ml水中。
以上脱毛剂配方适用于家兔、大白鼠、小白鼠等小动物的脱毛。
⑷硫化钠10g、生石灰15g,溶于100ml水内,此配方适用于狗等大动物的脱毛。
使用以上各种脱毛剂,都应事先剪短被毛,以节省脱毛剂,并减少对皮肤的刺激反应,应用时用棉球蘸脱毛剂,在所需局部涂一薄层,2-3分钟后,用温水洗去脱落的被毛,以纱布擦干局部,涂一层油脂即可。
在动物实验中,为了观察药物对机能功能、代谢及形态引起的变化,常需将药物注入动物体内。给药的途径和方法是多种多样的,可根据实验目的、实验动物种类和药物剂型等情况确定。
(一)皮下注射
注射时以左手拇指和食指提起皮肤,将连有5(1/2)号针头的注射器刺入皮下。皮下注射部位一般狗、猫多在大腿外侧,豚鼠在后大腿的内侧或小腹部;大白鼠可在侧下腹部。兔在背部或耳根部注射。蛙可在脊背部淋巴腔注射。
(二)皮内注射
皮内注射时需将注射的局部脱去被毛,消毒后,用左手拇指和食指按住皮肤并使之绷紧,在两指之间,用结核菌素注射器连4(1/2)细针头,紧贴皮肤表层刺入皮内,然后再向上挑起并再稍刺入,即可注射药液,此时可见皮肤表面鼓起一白色小皮丘。
(三)肌肉注射
肌肉注射应选肌肉发达,无大血管通过的部位,一般多选臀部。注射时垂直迅速刺入肌肉,回抽针栓如无回血,即可进行注射。给小白鼠、大白鼠等小动物作肌肉注射时,用左手抓住鼠两耳和头部皮肤,右手取连有5(1/2)针头的注射器,将针头刺入大腿外侧肌肉,将药液注入。
(四)腹腔注射
用大、小白鼠做实验时,以左手抓住动物,使腹部向上,右手将注射针头于左(或右)下腹部刺入皮下,使针头向前推 0.5~1.0cm,再以45度角穿过腹肌,固定针头,缓缓注入药液(图11-11),为避免伤及内脏,可使动物处于头低位,使内脏移向上腹。若实验动物为家兔,进针部位为下腹部的腹白线离开1cm处。

图11-11 小鼠腹腔注射方法
(五)静脉注射
1.兔:兔耳部血管分布清晰。兔耳中央为动物,耳外缘为静脉。内缘静脉深不易固定,故不用。外缘静脉表浅易固定,常用。先拔去注射部位的被毛,用手指弹动或轻揉兔耳,使静脉充盈,左手食指和中指夹住静脉的近端,拇指绷紧静脉的远端,无名指及小指垫在下面,右手持注射器连6号针头尽量从静脉的远端刺入,移动拇指于针头上以固定针头,放开食指和中指,将药液注入(图11-12),然后拔出针头,用手压迫针眼片刻。

图11-12 家兔耳缘静脉注射方法
2.小白鼠和大白鼠:一般采用尾静脉注射,鼠尾静脉有三根,左右两侧及背侧各一根,左右两侧尾静脉比较容易固定,多采用,背侧一根也可采用,但位置容易固定。操作时先将动物固定在鼠筒内或扣在烧杯中,使尾巴露出,尾部用45~50℃的温水浸润半分钟或用酒精擦拭使血管扩张,并可使表皮角质软化,以左手拇指和食指捏住鼠尾两侧,使静脉充盈,用中指从下面托起尾巴,以无名指和小指夹住尾巴的末梢,右手持注射器连4(1/2)号细针头,使针头与静脉平行(小于30℃),从尾下四分之一处(约距尾尖2-3厘米)处进针,此处皮薄易于刺入,先缓注少量药液,如无阻力,表示针头已进入静脉,可继续注入。注射完毕后把尾部向注射侧弯曲以止血。如需反复注射,应尽可能从末端开始,以后向尾根部方向移动注射(图11-13)。

图11-13 小鼠尾静脉注射方法
3.狗:狗静脉注射多选前肢内侧皮下头静脉(图11-14)或后肢小隐静脉(图11-15)注射。注射前由助手将动物侧卧,剪去注射部位的被毛,用胶皮带扎紧(或用手抓紧)静脉近端,使血管充盈,从静脉的远端将注射针头平行刺入血管,待有回血后,松开绑带(或两手),缓缓注入药液。

图11-14 狗前肢头静脉注射

图11-15 狗后肢小隐静脉注射
4.蛙(或蟾蜍):将蛙或蟾蜍脑脊髓破坏后,仰卧固定于蛙板上,沿腹中线稍左剪开腹肌,可见到腹静脉贴着腹壁肌肉下行,将注射针头沿血管平行方向刺入即可(图11-16)。

图11-16 蛙腹壁静静注射
几种常用的动物不同给药途径的注射量可参考表11-1。
表11-1 几种动物不同给药途径的常用注射量(毫升)
| 注射途径 | 小鼠 | 大鼠 | 豚鼠 | 兔 | 狗 |
| 腹 腔 | 0.2-1.0 | 1-3 | 2-5 | 5-10 | 5-15 |
| 肌 肉 | 0.1-0.2 | 0.2-0.5 | 0.2-0.5 | 0.5-1.0 | 2-5 |
| 静 脉 | 0.2-0.5 | 1-2 | 1-5 | 3-10 | 5-15 |
| 皮 下 | 0.1-0.5 | 0.5-1.0 | 0.5-2 | 1.0-3.0 | 3-10 |
(六)淋巴囊注射
蛙类常采用此法,因其皮下有数个淋巴囊,注入药物甚易吸收。腹部淋巴囊和头背淋巴囊常作为蛙类给药途径。一般多选用腹部淋巴囊给药。注射时将针头从蛙大腿上端刺入,经大腿肌层入腹壁肌层,再进入腹壁皮下,即进入淋巴囊,然后注入药液。有时也可采用胸淋巴囊给药。方法是将针头刺入口腔,使穿过下颌肌层入胸淋巴囊内注入药液,一次最大注射量为1毫升。蛙全身分布为咽、胸、背、腹侧、腹、大腿和脚等七个淋巴囊(图11-17)。

图11-17 蛙全身淋巴囊分布
(七)经口给药
在急性试验中,经口给药多用灌胃法,此法剂量准确,适用于小白鼠、大白鼠、家兔等动物。
1.小鼠、大鼠(或豚鼠)用输血针头或小号腰穿针头,将其尖端斜面磨剂,用焊锡在针尖周围焊一圆头,注意勿堵塞针孔,即成灌胃针;亦可用烧成圆头的硬质玻璃毛细管或特制的塑料毛细秋,作为导管。灌胃时将针按在注射器上,吸入药液。左手抓住鼠背部及颈部皮肤将动物固定,右手持注射器,将灌胃针插入动物口中,沿咽后壁徐徐插入食道。动物应固定成垂直体位,针插入时应无阻力。若感到阻力或动物挣扎时,应立即停止进针或将针拔出,以兔损伤或穿破食道以及误入气管。
一般当灌胃针插入小鼠3-4cm,大鼠或豚鼠4-6cm后可将药物注入。常用的灌胃量小鼠为0.2-1ml,大鼠1-4ml,豚鼠为1-5ml。
2.狗、兔、猫、猴 灌胃时,先将动物固定,再将特制的扩口器放入动物口中,扩口器之宽度可视动物口腔大小而定,如狗的扩口器可用木料制成长方形,长约10-15cm,粗细应适合狗嘴,约2-3cm,中间粘一小孔,孔的直途为5-10cm。灌胃时将扩口器放于上述动物上下门牙之后,并用绳将它固定于嘴部,将带有弹性的橡皮导管(如导尿管),经扩口器上的小圆孔插入,沿咽后壁而进入食道,此时应检查导管是否正确插入食道,可将导管外口置于一盛水的烧杯中,如不发生气泡,即认为此导管是在食道中,未误入气管,即可将药液灌入。

图11-18 狗灌胃方法
经我们大量实验,给狗、兔等动物灌胃时,可不用扩口器也能顺利将药液灌入胃内,狗灌胃时,用12号灌胃管,左手抓住狗嘴,右手中指由右嘴角插入,摸到最后一对臼齿后的天然空隙,胃管由此空隙顺食管方向不断插入约20cm,可达胃内,将胃管另一端插入水中,如不出气泡,表示确已进入胃,而没误入气管内,即可灌入。兔灌胃时,将兔固定在木制固定盒内左手虎口卡住并固定好兔嘴,右手取14号细导尿管,由右侧唇裂避开门齿,将导管慢慢插入,如插管顺利,动物不挣扎,插入约15cm时,即表示插入胃内,将药液注入。
各种动物一次灌胃能耐受的最大容积小鼠为0.5-1.0ml,大鼠4-7ml,豚鼠为4-7ml,家兔为80-150ml,狗为200-500ml。
(八)其它途径给药
1.呼吸道给药 呈粉尘、气体及蒸气或雾等症状存在药物或毒气,均需要通过动物呼吸道给药。如一般实验时给动物乙醚作吸入麻醉,给动物吸一定量的氨气、二氧化碳等观察呼吸、循环等变化;给动物定期吸入一定量的SO2。锯末烟雾等可造成慢性气管炎动物模型等;特别在毒物学实验中应用更为广泛。
2.皮肤给药 为了鉴定药物或毒物经皮肤的吸收作用、局部作用、致敏作用和光感作用等,均需采用经皮肤给药方法。如家兔和豚鼠常采用背部一定面积的皮肤脱毛后,将一定药液涂在皮肤上,药液经皮肤吸收。
3.脊髓腔内给药 此法主要用于椎管麻醉或抽取脑脊液。
家兔椎管内注射方法:将家兔作自然俯卧式,尽量使其尾向腹侧屈曲,用粗剪将第七腰椎周围背毛剪去,用3%碘酊消毒,干后再用79%酒精将碘酒擦去。在兔背部髌骨脊连线之中点稍下方摸动第七腰椎间隙(第七腰椎与第一骶骨椎之间),插入腰椎穿刺针头。当针到达椎管内时(珠网膜下腔),可见到兔的后肢跳动,即证明穿刺针头已进入椎管。这时不要再向下刺,以兔损伤脊髓。固定好针头,即可将药物注入。
4.小脑延髓池给药 此种给药都是在动物麻醉情况下进行的。而且常采用大动物如狗等,小动物很少采用。将狗麻醉后,使狗头尽量向胸部屈曲,用左手摸到其第一颈椎上方的凹陷(枕骨大孔),固定位置,右手取7号钝针头(将针头尖端麻钝),由此凹陷的正中线上,顺平行狗的方向,小心地刺入小脑延髓池。当针头正确刺入小脑延髓池时,注射者会感到针头再向前穿时无阻力,同时可以听到很轻的“咔嚓”一声,即表示针头已穿过硬脑膜进入小脑延髓池,而且可抽出清亮的脑脊液,注射药物前,先抽出一些脑脊液,抽取量根据实验需要注入多少药液决定,即注入多少抽取多少,以保持原来脑脊髓腔里的压力(图11-19)。

图11-19 狗小脑延髓池给药
5.脑内给药 此法常用于微生物学动物实验,将病原体等接种于被检动物脑内,然后观察接种后的各种变化。小鼠脑内给药时,选套有塑料管、针尖露出2mm深的5(1/2)针头,由鼠正中额部刺入脑内,注入药物或接种物。给豚鼠、兔、狗等进行脑内注射时,须先用穿颅钢针穿透颅骨,再用注射器针头刺入脑部,再徐徐注入被检物。注射速度一定要慢,避免引起颅内压急骤升高。
6.直肠内给药 此种给药方法常用于动物麻醉。家兔直肠内给药时,取灌肠用的胶皮管或用14号导尿管代替。在胶皮管或导尿管头上涂上凡士林,由助手使兔蹲卧于桌上,以左臂及左腋轻轻按住兔头及前肢,以左手拉住兔尾,露出肛门,并用右手轻握后肢,实验者将橡皮管插入家兔肛门内,浓度约7~9cm,如为雌性动物,注意勿误插入阴道(肛门紧接尾根)。橡皮管插好后,将注射器与橡皮管套紧,即可灌注药液。
7.关节腔内给药 此种方法常用于关节炎的动物模型复制。兔给药时,将兔仰卧固定于兔固定台上,剪去关节部被毛,用碘酒或酒精消毒,然后用手从下方和两旁将关节固定,把皮肤稍移向一侧,在膑韧带附着点处上方约0.5厘米处进针。针头从上前方向下后方倾斜刺进,直至针头遇阻力变小,然后针头稍后退,以垂直方向推到关节腔中。针头进入关节腔时,通常可有好象刺破薄膜的感觉,表示针头已进入膝关节腔内,即可注入药液。动物最大给药量可参考表11-2。
表11-2 常用实验动物的最大给药量和使用针头规格
| 动物名称 | 项 目 | 灌 胃 | 皮下注射 | 肌肉注射 | 腹腔注射 | 静脉注射 |
| 小白鼠 | 最大给药量 使用针头 | 1ml 9(钝头) | 0.4ml 5(1/2) | 0.4ml 5(1/2) | 1ml 5(1/2) | 0.8ml 4 |
| 大白鼠 | 最大给药量 使用针头 | 1ml 静脉切 开 针 | 1ml 6 | 0.4ml 6 | 2ml 6 | 4ml 5 |
| 鼠 | 最大给药量 使用针头 | 3ml 静脉切 开 针 | 1ml 6(1/2) | 0.5ml 6(1/2) | 4ml 7 | 5ml 5 |
| 兔 | 最大给药量 使用针头 | 20ml 10号 导尿管 | 2ml 6(1/2) | 2ml 6(1/2) | 5ml 7 | 10ml 6 |
| 猫 | 最大给药量使用针头 | 20ml 10号 导尿管 | 20ml 7 | 2ml 7 | 5ml 7 | 10ml 6 |
| 蛙 | 淋巴囊注射 最大注射量 1ml/只 | |||||
(一)动物给药量的确定
在观察一个药物的作用时,应该给动物多在的剂量是实验开始时应确定的一个重要问题。剂量太小,作用不明显,剂量太大,又可能引起动物中毒致死,可以按下述方法确定剂量:
1.先用小鼠粗略地探索中毒剂量或致死剂量,然后用小于中毒量的剂量,或取致死量的若干分之一为应用剂量,一般可取1/10-1/5。
2.植物药粗制剂的剂量多按生药折算。
3.化学药品可参考化学结构相似的已知药物,特别是化学结构和作用都相似的药物的剂量。
4.确定剂量后,如第一次实验的作用不明显,动物也没有中毒的表现(体重下降、精神不振、活动减少或其他症状),可以加大剂量再次实验。如出现中毒现象,作用也明显,则应降低剂量再次实验。在一般情况下,在适宜的剂量范围内,药物的作用常随剂量的加大而增强。所以有条件时,最好同时用几个剂量作实验,以便迅速获得关于药物作用的较完整的资料。如实验结果出现剂量与作用强度之间毫无规律时,则更应慎重分析。
5.用大动物进行实验时,开始的剂量可采用给鼠类剂量的十五分之一~二分之一,以后可根据动物的反应调整剂量。
6.确定动物给药剂量时,要考虑给药动物的年龄大小和体质强弱。一般说确定的给药剂量是指成年动物的,如是幼小动物,剂量应减少。如以狗为例:6个月以上的狗给药量为1份时,3-6个月的给1/2份,45-89日1/4份,20-44日的给1/8份,10-19日的给1/16份。
7.确定动物给药剂量时,要考虑因给药途径不同,所用剂量也不同,以口服量为100时,灌肠量应为100-200,皮下注射量30-50,肌肉注射量为25-30,静脉注射量为25。
(二)实验动物用药量的计算方法
动物实验所用的药物剂量,一般按mg/kg体重或g/kg体重计算,应用时须从已知药液的浓度换算出相当于每kg体重应注射的药液量(ml数),以便给药。
例1:计算给体重1.8kg的家兔,静脉注射20%氨基甲酸乙酯溶液麻醉,按每kg体重1g的剂量注射,应注射多少ml?
计算方法:兔每kg体重需注射1g,注射液为20%,则氨基甲酸乙酯溶液的注射量应为5ml/kg体重,现在兔体重为1.8kg,应注射20%氨基甲酸乙酯溶液用量=5×1.8=9ml。
例2:计算给体重23g的小白鼠,注射盐酸吗啡15mg/kg重,溶液浓度为0.1%,应注射多少ml?
计算方法:小白鼠每kg体重需吗啡的量为15mg,则0.1%盐酸吗啡溶液的注射量应为15ml/kg体重,现小白鼠体重为23g,应注射0.1%盐酸吗啡溶液的用量=15×0.023=0.345ml。
(三)人与动物及各类动物间药物剂量的换算方法
1.人与动物用药量换算 人与动物对同一药物的耐受性是相差很大的。一般说来,动物的耐受性要比人大,也就是单位体重的用药理动物比人要大。人的各种药物的用量在很多书上可以查得,但动物用药量可查的书较少,而且动物用的药物种类远不如人用的那么多。因此,必须将人的用药量换算成动物的用药量。一般可按下列比例换算:人用药量为1,小白鼠、大白鼠为25-50,兔、豚鼠为15-20,狗、猫为5-10。
此外,可以采用人与动物的体表面积计算法来换算:
(1)人体体表面积计算法 计算我国人的体表面积,一般认为许文生氏公式(中国生理学杂志12:327,1937)尚较适用,即:
体表面积(m2)=0.0061×身高(cm)+0.0128×体重(kg)-0.1529
例:某人身高168cm,体重55kg,试计算其体表面积。
解:0.061×168+0.0128×55.0.1529=1.576m2
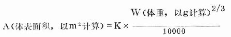
(2)动物的体表面积计算法 有许多种,在需要由体重推算体表面积时,一般认为Meeh-Rubner氏公式尚较适用,即:

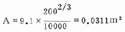
式中的K为一常数,随动物种类而不同:小白鼠和大白鼠9.1、豚鼠9.8、家兔10.1、猫9.8、狗11.2、猴11.8、人10.6(上列K值各家报导略有出入)。应当指出,这样计算出来的表面积还是一种粗略的估计值,不一定完全符合于每个动物的实测数值。
例:试计算体重1.50kg家兔的体表面积。

2.人及不同种类动物之间药物剂量的换算
(1)直接计算法 即按:

例:某利尿药大白鼠灌给药时的剂量为250mg/kg,试粗略估计狗灌胃给药时可以试用的剂量。
解:实验用大白鼠的体重一般在200g左右,其体表面积(A)为:

250mg/kg的剂量如改以mg/m2表示,即为:

实验用狗的体重一般在10kg左右,其体表面积(A)为:

(2)按mg/kg折算mg/m2转换因子计算
例:同上
解:按


(3)按每kg体重占有体重表面积相对比值计算
各种动物的“每kg体重占有体表面积相对比值(简称体表面积比例比值)”见表11-3。

(4)按人和动物间按体表面积折算的等效剂量比值表计算
见表11-4,12kg狗的体表面积为200g大白鼠的17.8倍。该药大白鼠的剂量为250mg/kg,200g的大白鼠需给药250×0.2=50mg。
于是

表11-3 进行不同种类动物间剂量换算时的常用数据
| 动物种类 | Meeh-Rubner公式的K值 | 体重(kg) | 体表面积(m2) | Mg/kg-mg/m2转移因子 | 每kg体重占有体面积相对比值 | |
| 小白鼠 | 9.1 | 0.018 0.02 0.022 0.024 | 0.0066 0.0067 0.0071 0.0076 | 2.9 3.0 3.1 3.2 | 粗略值3 | 1.0 (0.02kg) |
| 大白鼠 | 9.1 | 0.10 0.15 0.20 0.25 | 0.0196 0.0257 0.0311 0.0761 | 5.1 5.8 6.4 6.9 | 粗略值6 | 0.47 (0.20kg) |
| 豚鼠 | 9.8 | 0.30 0.40 0.50 0.60 | 0.0439 0.0532 0.0617 0.0697 | 6.8 7.5 8.1 8.6 | 粗略值8 | 0.40 (0.40kg) |
| 家兔 | 10.1 | 1.50 2.00 2.50 | 0.1323 0.1608 0.1860 | 11.3 12.4 13.4 | 粗略值12 | 0.24 (2.0kg) |
| 猫 | 9.0 | 2.00 2.50 3.00 | 0.1571 0.1324 0.2059 | 12.7 13.7 14.6 | 粗略值14 | 0.22 (2.5kg) |
| 狗 | 11.2 | 5.00 10.00 15.00 | 0.3275 0.5199 0.6812 | 15.3 19.2 22.0 | 粗略值19 | 0.16 (10.0kg) |
| 猴 | 11.8 | 2.00 3.00 4.00 | 0.1878 0.2455 0.2973 | 10.7 12.2 13.5 | 粗略值12 | 0.24 (3.0kg) |
| 人 | 10.6 | 40.00 50.00 60.00 | 1.2398 1.4386 1.6246 | 32.2 34.8 36.9 | 粗略值35 | 0.08 (50.0kg) |
表11-4 人和动物间按体表面积折算的等效剂量比值表
| 小白鼠(20g) | 大白鼠(200g) | 豚鼠(400g) | 家兔(1.5kg) | 猫(2.0kg) | 猴(4.0kg) | 狗(12kg) | 人(70kg) | |
| 小白鼠(20g) | 1.0 | 7.0 | 12.25 | 27.8 | 29.7 | 64.1 | 124.2 | 378.9 |
| 大白鼠(200g) | 0.14 | 1.0 | 1.74 | 3.9 | 4.2 | 9.2 | 17.8 | 56.0 |
| 豚鼠(400g) | 0.08 | 0.57 | 1.0 | 2.25 | 2.4 | 5.2 | 4.2 | 31.5 |
| 家兔(1.5kg) | 0.04 | 0.25 | 0.44 | 1.0 | 1.08 | 2.4 | 4.5 | 14.2 |
| 猫(2.0kg) | 0.03 | 0.23 | 0.41 | 0.92 | 1.0 | 2.2 | 4.1 | 13.0 |
| 猴(4.0kg) | 0.016 | 0.11 | 0.19 | 0.42 | 0.45 | 1.0 | 1.9 | 6.1 |
| 狗(12kg) | 0.008 | 0.06 | 0.10 | 0.22 | 0.23 | 0.52 | 1.0 | 8.1 |
| 人(70kg) | 0.0026 | 0.018 | 0.031 | 0.07 | 0.078 | 0.16 | 0.82 | 1.0 |
(5)按人与各种动物以及各种动物之间用药剂量换算
已知A种动物每kg体重用药量,欲估算B种动物每kg体重用药剂量时,可先查第422页表11-5,找出折算系数(W),再按下式计算:
B种动物的剂量(mg/kg)=W×A种动物的剂量(mg/kg)
例如,已知某药对小鼠的最大耐受量为20mg/kg(20g小鼠用0.4mg),需折算为家兔量。查A种动物为小鼠,B种动物为兔,交叉点为折算系数W=0.37,故家兔用药量为0.37×20mg/kg=7.4mg/kg,1.5kg家兔用药量为11.1mg。
表11-5 动物与人体的每公斤体重剂量折算系数表
| 折算系数W | A 组 动 物 或 成 人 | |||||||
| 小鼠 0.02kg | 大鼠 0.2kg | 豚鼠 0.4kg | 兔 1.5kg | 猫 2kg | 犬 12kg | 成人 60kg | ||
| B 种动物或成人 | 小鼠20g | 1.0 | 1.6 | 1.6 | 2.7 | 3.2 | 4.8 | 9.01 |
| 大鼠0.2kg | 0.7 | 1.0 | 1.14 | 1.88 | 2.3 | 3.6 | 6.25 | |
| 豚鼠0.4kg | 0.61 | 0.87 | 1.0 | 1.65 | 2.05 | 3.0 | 5.55 | |
| 兔1.5kg | 0.37 | 0.52 | 0.6 | 1.0 | 1.23 | 1.76 | 2.30 | |
| 猫2.0kg | 0.30 | 0.42 | 0.48 | 0.81 | 1.0 | 1.44 | 2.70 | |
| 犬12kg | 0.21 | 0.28 | 0.34 | 0.56 | .068 | 1.0 | 1.88 | |
| 成人60kg | 0.11 | 0.16 | 0.18 | 0.304 | 0.371 | 0.531 | 1.0 | |
在一些动物实验,特别是手术等实验,为减少动物的挣扎和保持其安静,并便于操作,常对动物采用必要的麻醉。由于动物种属间的差异等情况,所采用的麻醉方法和选用的麻醉剂亦有不同。
(一)常用的麻醉剂
动物实验中常用的麻醉剂分为三类,即挥发性麻醉剂、非挥发性麻醉剂和中药麻醉剂。
1.挥发性麻醉剂 这类麻药包括乙醚、氯仿等。乙醚吸入麻醉适用于各种动物,其麻醉量和致死量差距大,所发安全度亦大,动物麻醉深度容易掌握,而且麻后苏醒较快。其缺点是对局部刺激作用大,可引起上呼吸道粘膜液体分泌增多,再通过神经反射可影响呼吸、血压和心跳活动,并且容易引起窒息,故在乙醚吸入麻醚时必需有人照看,以防麻醉过深而出现上情况。
2.非挥发性麻醉剂 这类麻醉剂种类较多,包括苯巴比妥钠、戊巴比妥钠、硫喷妥钠等巴比妥类的衍生物,氨基甲酸乙脂和水合氯醛。这些麻醉剂使用方便,一次给药可维持较长的麻醉时间,麻醉过程较平衡,动物无明显挣扎现象。但缺点是苏醒较慢。
3.中药麻醉剂 动物实验时有时也用到象洋金花和氢溴酸东莨菪碱等中药麻醉剂,但由于其作用不够稳定,而且常需加佐剂麻醉效果才能理想,故在使用过程中不能得到普及,因而,多数实验室不选用这类麻醉剂进行麻醉。
(二)动物的麻醉方法
1.全身麻醉
(1)吸入法 用一块圆玻璃板和一个钟罩或一个密闭的玻璃箱作为挥发性麻醉剂的容器,多选用乙醚作麻药。麻醉时用几个棉球,将乙醚倒可其中,迅速转入钟罩或箱内,让其挥发,然后把待麻醉动物投入,约隔4-6分钟即可麻醉,麻醉后应立即取出,并准备一个蘸有乙醚的棉球小烧杯,在动物麻醚变浅时给套在鼻上使其补吸麻药。本法最适于大、小鼠的短期操作性实验的麻醉,当然也可用于较大的动物只是要求有麻醉口罩或较大的玻璃箱罢了。由于乙醚燃点很低,遇火极易燃烧,所以在使用时,一定要远离炎源。
(2)腹腔和静脉给药麻醉法
非挥发性和中药麻醉剂均可用作腹腔和静脉注射麻醉,操作简便,是实验室最常采用的方法之一。腹腔给药麻醉多用于大小鼠和豚鼠,较大的动物如兔、狗等则多用静脉给药进行麻醉。由于各麻醉剂的作用长短以及毒性的差别。所以在腹腔和静脉麻醉时,一定控制药物的浓度和注射量(见表11-6)。
表11-6 常用麻醉剂的用法及剂量
| 麻 醉 剂 | 动 物 | 给药方法 | 剂 量(mg/kg) | 常用浓度% | 维 持 时 间 |
| 戊巴比妥纳 | 狗、兔 | 静脉 | 30 | 3 | 2-4小时中途加上1/5量,可维持1小时以上,麻醉力强,易抑制呼吸。 |
| 腹腔 | 40-50 | 3 | |||
| 大、小鼠、豚鼠 | 腹腔 | 40-50 | 2 | ||
| 硫喷妥纳 | 狗、兔 | 静脉 | 15-20 | 2 | 15-30分钟,麻醉力强,宜缓慢注射。 |
| 大白鼠 | 腹腔 | 40 | 1 | ||
| 小白鼠 | 腹腔 | 15-20 | 1 | ||
| 氯 醛 糖 | 兔 | 静脉 | 80-100 | 2 | 3-4小时,诱导期不明显 |
| 大白鼠 | 腹腔 | 50 | 2 | ||
| 乌 拉 坦 | 兔 | 静脉 | 750-1000 | 30 | 2-4小时,毒性小,主要适用小动物的麻醉。 |
| 大、小白鼠 | 皮下或肌肉 | 800-1000 | 20 | ||
| 蛙 | 淋巴囊注射 | 0.1ml/100g | 20-25 | ||
| 蟾蜍 | 淋巴囊注射 | 1ml/100g | 10 |
2.局部麻醉
⑴猫的局部麻醉一般应用0.5-1.0%盐酸普鲁卡因注射。粘膜表面麻醉宜用2%盐酸可卡因。
⑵兔在眼球手术时,可于结膜囊滴入0.02%盐酸可卡因溶液,数秒钟即可出现麻醉。
⑶狗的局部麻醉用0.5-1%盐酸普鲁卡因注射。眼鼻、咽喉表面麻醉可用2%盐酸可卡因。
3.麻醉注意事项
⑴静脉注射必须缓慢,同时观察肌肉紧张性、角膜反射和对皮肤夹捏的反应,当这些活动明显减弱或消失时,立即停止注射。配制的药液浓度要适中,不可过高,以兔麻醉过急;但也不能过低,以减少注入溶液的体积。
⑵麻醉时需注意保温。麻醉期间,动物的体温调节机能往往受到抑制,出现体温下降,可影响实验的准确性。此时常需采取保温措施。保温的方法有,实验桌内装灯,电褥,台灯照射等。无论用哪种方法加温都应根据动物的肛门体温而定。常用实验动物正常体温:猫为38.6℃±1.0℃,兔为38.4℃±1.0℃,大鼠为39.3℃±0.5℃。
⑶作慢性实验时,在寒冷冬季,麻醉剂在注射前应加热至动物体温水平。
实验研究中,经常要采集实验动物的血液进行常规检查或某些生物化学分析,故必须掌握血液的正确采集、分离和保存的操作技术。
采血方法的选择,主要决定于实验的目的所需血量以及动物种类。凡用血量较少的检验如红、白细胞计数、血红蛋白的测定,血液涂片以及酶活性微量分析法等,可刺破组织取毛细血管的血。当需血量较多时可作静脉采血。静脉采血时,若需反复多次,应自远离心脏端开始,以免发生栓塞而影响整条静脉。例如,研究毒物对肺功能的影响、血液酸碱平衡、水盐代谢紊乱,需要比较动、动脉血氧分压、二氧化碳分压和血液pH值以及K+、Na+、CI-离子浓度,必须采取动脉血液。
采血时要注意:⑴采血场所有充足的光线;室温夏季最好保持在25-28℃,冬季,15-20℃为宜;⑵采血用具有采用部位一般需要进行消毒;⑶采血用的注射器和试管必须保持清洁干燥;⑷若需抗凝全血,在注射器或试管内需预先加入抗凝剂。现将采用血方法按动物和部位分别加以介绍。
不同动物采血部位与采血量的关系可参考表11-7。
表11-7 不同动物采血部位与采血量的关系
| 采血量 | 采血部位 | 动物品种 |
| 取少量血 | 尾静脉 耳静脉 眼底静脉丛 舌下静脉 腹壁静脉 冠、脚蹼皮下静脉 | 大鼠、小鼠 兔、狗、猫、猪、山羊、绵羊 兔、大鼠、小鼠 兔 青蛙、蟾蜍 鸡、鸭、鹅 |
| 取中量血 | 后肢外侧皮下小隐静脉 前肢内侧皮下头静脉 耳中央动脉 颈静脉 心脏 断头 翼下静脉 颈动脉 | 狗、猴、猫 狗、猴、猫 兔 狗、猫、兔 豚鼠、大鼠、小鼠 大鼠、小鼠 鸡、鸭、鸽、鹅 鸡、鸭、鸽、鹅 |
| 取大量血 | 股动脉、颈动脉 心脏 颈静脉 摘眼球 | 狗、猴、猫、兔 狗、猴、猫、兔 马、牛、山羊、绵羊 大鼠、小鼠 |
常用实验动物的最大安全采血量与最小的致死采用血量,见表11-8。
表11-8 常用实验动物的最大安全采血量与最小致死采血量
| 动物品种 | 最大安全采血量(ml) | 最小致死采血量(ml) |
| 小 鼠 | 0.2 | 0.3 |
| 大 鼠 | 1 | 2 |
| 豚 鼠 | 5 | 10 |
| 兔 | 10 | 40 |
| 狼 狗 | 100 | 500 |
| 猎 狗 | 50 | 200 |
| 猴 | 15 | 60 |
(一)小鼠、大鼠采血法
1.割(剪)尾采血
当所需血量很少时采用本法。固定动物并露出鼠尾。将尾部毛剪去后消毒,然后浸在45℃左右的温水中数分钟,使尾部血管充盈。再将尾擦干,用锐器(刀或剪刀)割去尾尖0.3-0.5cm,让血液自由滴入盛器或用血红蛋白吸管吸取,采血结束,伤口消毒并压迫止血。也可在尾部作一横切口,割破尾动脉或静脉,收集血液的方法同上。每鼠一般可采血10余次以上。小鼠每次可取血0.1ml,大鼠0.3~0.5ml。
2.鼠尾刺血法
大鼠用血量不多时(仅做白细胞计数或血红蛋白检查),可采用本法。先将鼠尾用温水擦拭,再用酒精消毒和擦拭,使鼠尾充血。用7号或8号注射针头,刺入鼠尾静脉,拔出针头时即有血滴出,一次可采集10~50mm3。如果长期反复取血,应先靠近鼠尾末端穿刺,以后再逐渐向近心端穿刺。
3.眼眶静脉丛采血 采血者的左手拇食两指从背部较紧地握住小鼠或大鼠的颈部(大鼠采血需带上纱手套),应防止动物窒息。当取血时左手拇指及食指轻轻压迫动物的颈部两侧,使眶后静脉丛充血。右手持续接7号针头的1ml注射器或长颈(3~4cm)硬质玻璃滴管(毛细管内径0.5-1.0mm),使采血器与鼠面成45℃的夹角,由眼内角刺入,针头斜面先向眼球,刺入后再转180度使斜面对着眼眶后界。刺入浓度,小鼠约2~3mm,大鼠约4~5mm。当感到有阻力时即停止推进,同时,将针退出约0.1-0.5mm,边退边抽。若穿刺适当血液能自然流入毛细管中,当得到所需的血量后,即除去加于颈部的压力,同时,将采血器拔出,以防止术后穿刺孔出血。
若技术熟练,用本法短期内可重复采血均无多大困难。左右两眼轮换更好。体重20-25g的小鼠每次可采血0.2-0.3ml;体重200-300g大鼠每次可采血0.5-1.0ml,可适用于某些生物化学项目的检验。
4.断头取血
采血者的左手拇指和食指以背部较紧地握住大(小)鼠的颈部皮肤,并作动物头朝下倾的姿势。右手用剪刀猛剪鼠颈,约1/2-4/5的颈部前剪断,让血自由滴入盛器。小鼠可采用约0.8~1.2ml;大鼠约5-10ml。
5.心脏采血
鼠类的心脏较小,且心率较快,心脏采血比较困难,故少用。活体采血方法与豚鼠相同。若做开胸一次死亡采血,先将动物作深麻醉,打开胸腔,暴露心脏,用针头刺入右心室,吸取血液。小鼠约0.5-0.6ml;大鼠约0.8-1.2ml。
6.颈动静脉采血
先将动物仰位固定,切开颈部皮肤,分离皮下结缔组织,使颈静脉充分暴露,可用注射器吸出血液。在气管两侧分离出颈动脉,离心端结扎,向心端剪口将血滴入试管内。
7.腹主动脉采血
最好先将动物麻醉,仰卧固定在手术架上,从腹正中线皮肤切开腹腔,使腹主动脉清楚暴露。用注射器吸出血液,防止溶血。或用无齿镊子剥离结缔组织,夹住动脉近心端,用尖头手术剪刀,剪断动脉,使血液喷入盛器。
8.股动(静)脉采血
先由助手握住动物,采血者左手拉直动物下肢,使静脉充盈。或者以搏动为指标,右手用注射器刺入血管。体重15-20g 小鼠采血约0.2-0.8ml,大鼠约0.4-0.6ml。
(二)豚鼠采血法
1.耳缘剪口采血
将耳消毒后,用锐器(刀或刀片)割破耳缘,在切口边缘涂抹20%柠檬酸钠溶液,阻止血凝,则血可自切口自动流出,进入盛器。操作时,使耳充血效果较好。此法能采血0.5ml左右。
2.心脏采血
取血前应探明心脏搏动最强部位,通常在胸骨左缘的正中,选心跳最显的部位作穿刺。针头宜稍细长些,以免发生手术后穿刺孔出血,其操作手法详见兔心脏采血。因豚鼠身体较小,一般可不必将动物固定在解剖台上,而可由助手握住前后肢进行采血即可。成年豚鼠每周采血应不超过10ml为宜。
3.肌动脉采血
将动脉仰位固定在手术台上,剪去腹股沟区的毛,麻醉后,局部用碘酒消毒。切开长约2-3cm的皮肤,使股动脉暴露及分离。然后,用镊子提起股动脉,远端结扎,近端用止血钳夹住,在动脉中央剪一小孔,用无菌玻璃小导管或聚乙烯、聚四氟乙烯管插入,放开止血钳,血液即导管口流出。一次可采血10-20ml。
4.背中足静脉取血
助手固定动物,将其右或左右膝关节伸直提到术者面前。术者将动物脚背面用酒精消毒,找出背中足静脉后,以左手的拇指和食指拉住豚鼠的趾端,右手拿的注射针刺入静脉。拔针后立即出血,呈半球状隆起。采血后,用纱布或脱脂棉压迫止血。反复采血时,两后肢交替使用。
(三)兔采血法
1.耳静脉采血
本法为最常用的取血法之一,常作多次反复取血用,因此,保护耳缘静脉,防止发生栓塞特别重要。
将兔放入仅露出头部及两耳的固定盒中,或由助手以手扶住。选耳静脉清晰的耳朵,将耳静脉部位的毛拔去,用75%酒精局部消毒,待干。用手指轻轻摩擦兔耳,使静脉扩张,用连有5(1/2)号针头的注射器在耳缘静脉末端刺破血管待血液漏出取血或将针头逆血流方向刺入耳缘静脉取血,取血完毕用棉球压迫止血,此种采血法一次最多可采血5-10ml。
2.耳中央动脉采血
将兔置于兔固定筒内,在兔耳的中央有一条较粗、颜色较鲜红的中央动脉,用左手固定兔耳,右手取注射器,在中央动脉的末端,沿着动脉平行地向心方向刺入动脉,即可见动脉血进入针筒,取血完毕后注意止血。此法一次抽血可达15ml。但抽血时应注意,由于兔耳中央动脉容易发生痉挛性收缩,因此抽血前,必须先让兔耳充分充血,当动脉扩张,未发生痉挛性收缩之前立即进行抽血,如果等待时间过长,动脉经常会发生较长时间的痉挛性收缩。取血用的针头一般用6号针头,不要太细。针刺部位从中央动脉末端开始。不要在近耳根部取血,因耳根部软组织厚,血管位置略深,易刺透血管造成皮下出血。
3.心脏取血
将家兔仰卧固定,在第三肋间胸骨左缘3毫米处注射针垂直刺入心脏,血液随即进入针管。注意事项有:⑴动作宜迅速,以缩短在心脏内的留针时间和防止血液凝固;⑵如针头已进入心脏但抽不出血时,应将针头稍微后退一点。⑶在胸腔内针头不应左右摆动以防止伤及心,肺、一次可取血20-25ml。
4.后肢胫部皮下静脉取血
将兔仰卧固定于兔固定板上,或由一人将兔固定好。拔去胫部被毛,在胫部上端股部扎以橡皮管,则在胫部外侧浅表皮下,可清楚见到皮下静脉。用左手两指固定好静脉,右手取带有5(1/2)号针头的注射器内皮下静脉平行方向刺入血管,抽一下针栓,如血进入注射器,表示针头已刺入血管,即可取血。一次可取2~5ml。取完后必须用棉球压迫取血部位止血,时间要略长些,因此处不易止血。如止血不妥,可造成皮下血肿,影响连续多次取血。
5.股静脉、颈静脉取血
先作股静脉和颈静脉暴露分离手术
⑴股静脉取血 注射器平行于血管,从股静脉下端向心方向刺入,徐徐抽动针栓即可取血。抽血完毕后要注意止血。股静脉较易止血,用于纱布轻压取血部位即可。若连续多次取血,取血部位宜尽量选择靠离心端。
⑵外颈静脉取血 注射器由近心端(距颈静脉分支2-3厘米处)向头侧端顺血管平等方向刺入,使注射针一直引深至颈静脉分支叉处,即可取血。此处血管较粗,很容易取血,取血量也较多,一次可取10ml以上。取血完毕,拔出针头,用干纱布轻轻压迫取血部位也易止血。兔急性实验的静脉取血,用此法较方便。
(四)狗、猫采血法
1.后肢外侧小隐静脉和前肢内侧下头静脉采血
此法最常用,且方便。后肢外侧小隐静脉在后肢胫部下1/3的外侧浅表的皮下,由前侧方向后行走。抽血前,将狗固定在狗架上或使狗侧卧,由助手将狗固定好。将抽血部位的毛剪去,碘酒一酒精消毒皮肤。采血者左手拇指和食指握紧剪毛区上部,使下肢静脉充盈,右手用连有6号或7号针头的消毒器迅速穿刺入静脉,左手放松将针固定,以适当速度抽血(以无气泡为宜)。或将胶皮带绑在狗股部,或由助手握紧股部,即可,若仅需少量血液,可以不用注射器抽取,只需用针头直接刺入静脉,待血从针孔自然滴出,放入盛器或作涂片。
采集前肢内侧皮下的头静脉血时,操作方法基本与上述相同。一只狗一般采10-20ml血并不困难。
2.股动脉采血
本法为采取狗动脉血最常用的方法。操作也较简便。稍加以训练的狗,在清醒状态下将狗卧位固定于狗解剖台上。伸展后肢向外伸直,暴露腹肥肉沟三角动脉搏动的部位,剪去毛。用碘酒消毒。左手中指、食指探摸股动脉跳动部位,并固定好血管,右手取连有5(1/2)号针头的注射器,针头由动脉跳动处直接刺入血管,若刺入动脉一般可见鲜红血液流入注射器,有时还需微微转动一下针头或上下移动一下针头,方见鲜血流入。有时,往往刺入静脉,必须重抽之。待抽血完毕,迅速拔出针头,用干药棉压迫止血2~3分钟。
3.心脏采血
本法最好在麻醉下进行,驯服的狗不麻醉也行。将固定在手术台上,前肢向背侧方向固定,暴露胸部,将左侧第3-5肋间的被毛剪去,用碘酒-酒精消毒皮肤。采血者用左手触摸左侧3-5肋间处,选择心跳最显处穿刺。一般选择胸骨左缘外1cm第4肋间处。取连有6(1/2)号针头的注射器,由上述部位进针,并向动物背侧方向垂直刺入心脏。采血者可随针接触心跳的感觉,随时调整刺入方向和浓度,摆动的角度尽量小,避免损伤心肌过重,或造成胸腔大出血。当针头正确刺入心脏时,血即可进入抽射器,可抽取多量血液。
4.耳缘静脉采血
本法宜取少量血液作血常规或微量酶活力检查等。有训练的狗不必绑嘴,剪去耳尖部短毛,即可见耳缘静脉,手法基本与兔相同。
5.颈静脉
狗不需麻醉,经训练的狗不需固定,未经训练的狗应予固定。取侧卧位,剪去颈部被毛约10×3cm2范围,用碘酒、酒精消毒皮肤。将狗颈部拉直,头尽量后抑。用左手拇指压住颈静脉入胸部位的皮肤。使颈静脉怒张,右手取连有6(1/2)号针头的注射器。针头沿血管平行方向向心端刺往前血管。由于此静脉在皮下易滑动,针刺时除用左手固定好血管外,刺入要准确。取血后注意压迫止血。采用此法一次可取较多量的血。
猫的采血法基本与狗相同。常采用前肢皮下头静脉、后肢的股静脉、耳缘静脉取血。需大量血液时可从颈静脉取血。方法见前述。
(五)猴采血法
与人类的采血法相似,常用者有以下几种:
1.毛细血管采血 需血量少时,可在猴拇指或足跟等处采血。采血方法与人的手指或耳垂处的采血法相同。
2.静脉采血 最宜部位是后肢皮下静脉及外颈静脉。后肢皮下静脉的取血法与狗相似。
用外颈静脉采血时,把猴固定在猴台上,侧卧,头部略低于台面,助手固定猴的头部与肩部。先剪去颈部的毛,用碘酒-酒精消毒,即可见位于上颌角与锁骨中点之间的怒张的外颈静脉。用左手拇指按住静脉,右手持连6(1/2)号针头的注射器,其它操作与人的静脉取血同。
也可在肘窝、腕骨、手背及足背选静脉采血。但这些静脉更细、易滑动、穿刺难,血流出速度慢。
3.动脉采血 股动脉可触及。取血量多时常被优先选用,手法与狗股动脉采血相似。此外,肱动脉与桡动脉也可用。
(六)羊的采血方法
常采用颈静脉取血方法。也可在前后肢皮下静脉取血。颈静脉粗大,容易抽取,而且取血量较多,一般一次可抽取50-100ml。
将羊蹄捆缚,按倒在地,由助手用双手握住羊下颌,向上固定住头部。在颈部一侧外缘剪毛约2寸范围,碘酒、酒精消毒。用左手拇指按压颈静脉,使之怒张,右手取连用粗针头的注射器沿静脉一侧以39度倾斜由头端向心方向刺入血管,然后缓缓抽血至所需量。取血完毕,拔出针头,采血部位以酒精棉球压迫片刻,同时迅速将血液注入盛有玻璃珠的灭菌烧瓶内,振荡数分钟,脱去纤维蛋白,防止凝血,或将血液直接注入装有凝剂的烧瓶内。
(七)鸡、鸽、鸭的采血方法
鸡和鸽常采用的取血方法,是从其翼根静脉取血。如需抽取血时,可将动脉翅膀展开,露出腋窝,将羽毛拔去,即可见到明显的翼根静脉,此静脉是由翼根进入腋窝的一条较粗静脉。有碘酒、酒精消毒皮肤。抽血时用左手拇指、食指压迫此静脉向心端,血管即怒张。右手取连有5(1/2)号针头的注射器,针头由翼根向翅膀方向沿静脉平行刺入血管内,即可抽血,一般一只成年动物可抽取10-20ml血液。也常采用右侧颈静脉取血。右侧颈静脉较左侧粗,故用右侧颈静脉。以食指和中指按住头的一侧,用酒精棉球消毒右侧颈静脉的部位。以拇指轻压颈根部以使静脉充血。右手持注射器刺入静脉取血。常采用取血法还有爪静脉取血和心脏取血。在爪根部与爪中所见血管尖端之间切断血管,以吸管或毛细胞直接取血。亦可将注射针刺入心脏内取血。
急性动物实验中常以血压、呼吸等为指标,以静脉注射、放血等为实验方法。需要曝露气管、颈总动脉,颈外静脉,股动脉,股静脉,并做相应的插管,以及分离迷走神经,减压神经及股神经等。因此手术主要颈部及股部进行,现分述如下:
(一)兔、狗颈部手术
颈部手术的目的在于暴露气管、颈部血管并作相应的插管以及分离神经等。颈部手术成败的关键在于熟悉动物颈部及手术要领,防止损伤血管和神经(图11-19)现以兔为例,说明如下:

图11-20 家兔颈部血管神经解剖位置示意图
1.家兔背位固定于兔台上,颈部剪毛。
2.动物麻醉 一般作局部浸润麻醉,在颈部正中线皮下注1%普鲁卡因,亦可选用20%乌拉坦作全身麻醉。
3.气管及颈部血管神经分离术
⑴气管暴露术:用手术刀沿颈部正中线从甲状软骨处向下靠近胸骨上缘作一切口(兔长约4~6cm,狗的长约10cm);因兔颈部皮肤较松驰亦可用手术剪沿正中线剪开。切开皮肤后,以气管为标志从正中线用止血钳钝性分离正中的肌群和筋膜即可暴露气管,分离食道与气管,在气管下穿过一条粗线备用。
⑵颈总动脉分离术:正中切开皮肤及皮下筋膜,暴露肌肉。将肌肉层与皮下组织分开。此时清楚可见在颈中部位有两层肌肉。一层与气管平行,复于气管上,为胸骨舌骨肌。其上又有一层肌肉呈V字形走行向左右两侧分开。此层为胸锁乳突肌。用镊子轻轻夹住一侧的胸锁乳突肌,用止血钳在两层肌肉的交接处(即V形沟内)将它分开(注意,切勿在肌肉中分,以防出血)。在沟底部即可见到有搏动的颈总动鞘。用眼科镊子(或纹式止血钳)细心剥开鞘膜,避开鞘膜内神经,分离出长约3-4cm的颈总动脉,左其下穿两根线备用。
颈动脉窦分离术:在剥离两侧颈总动脉基础上,继续小心地沿两侧上方深处剥离,直至颈总动脉分叉处膨大部分,即为颈动脉窦,剥离时勿损伤附近的血管神经。
⑶颈部迷走、交感、减压神经分离术:于家兔颈部,在找到颈动脉鞘以后,将颈总动脉附近的结缔组织薄膜镊住,并轻拉向外侧使薄膜张开,即可见薄膜上数条神经,根据各条神经的形态、位置和走向等特点来辨认,迷走神经最粗,外观最白,位于颈总动脉外侧,易于识别。交感神经比迷走神经细,位于颈总动脉的内侧,呈浅灰色;减压神经细如头发,位于迷走神经和交感神经之间,在家兔为一独立的神经,沿交感神经外侧后行走,但在人、狗此神经并不单独行走,而是行走于迷走、交感干或迷走神经中。将神经细心分离出2-3cm长即可,然后各穿细线备用。
⑷颈外静脉暴露术 颈外静脉浅,位于颈部皮下,其属支外腭静脉和内腭静脉,颈部正中切口后,用手指从皮肤外将一侧部组织顶起,在胸锁突乳肌外缘,即可见很粗而明显的颈外静脉。仔细分离长约3-4cm的颈外静脉,穿两线备用。
4.气管及颈部血管插管术
在前述分离术的基础上,按需要选作下列插管术。
⑴气管插管术:暴露气管后在气管中段,于两软骨环之间,剪开气管口径之半,在向头端作一小纵切口呈倒“T”形。用镊子夹住T形切口的一角,将适当口径的气管套管由切口向心端插入气管腔内,用粗线扎紧,再将结扎线固定于“Y”形气管插管分叉处,以防气管套管脱出。
⑵颈总动脉插管术:颈总动脉主要用于测量颈动脉压。为此,在插管前需使动物肝素化,并将口径适宜的充满抗凝液体(也可用生理盐水)的动脉套管(也可用塑料管)准备好,将颈总动脉离心端结扎线之间。插管时以左手拇指及中指拉住离心端结扎线头,食指从血管背后轻扶血管。右手持锐利的眼科剪,使与血管呈45度角,在紧靠离心端结扎线处向心一剪,剪开动脉壁之周径1/3左右(若重复数剪易造成切缘不齐,当插管时易造成动脉内膜内卷或插入层间而失败),然后持动脉套管,以其尖端余面与动脉平均地向心方向插入动脉内,用细线扎紧并在套管分叉处打结固定。最后将动脉套管作适当固定,以保证测压时血液进出套管之通畅。
⑶颈外静脉插管术:颈外静脉可用于注射、输液和中尽静脉压之测量。血管套管插入方法与股静脉相似,现将用于中心静脉压测量的插和作一简介:
在插管前先将兔肝素化,并将联接静脉压检压计的细塑料管导管充盈含肝素之生理盐水。在导管上作一长5-8cm的记号,导管准备好后,先将静脉远心端结扎,靠近结扎点的向心端作一剪口,将导管插入剪口,然后一边拉结扎线头使颈外静脉与颈矢状面、冠状面各呈45度角,一边轻柔地向心端缓慢插入,遇有阻抗即退回改变角度重插,切不可硬插(易插破静脉进入胸腔)一般达导管上记号为止,此时可达右心房入口处。若导管插管成功,则可见静脉压检压计水面或漂浮于中心静脉压数值附近随呼吸而上下波动。
(二)兔、狗股部手术
股部手术目的在于分离股神经、股动、静脉及进行股动、静脉插管,以备放血、输血输液、注射药物等用。狗肌部神经、血管解剖特点见图11-20。

图11-20 狗股部神经、血管解剖特点
狗、兔等动物手术方法基本相同。现以兔为例其基本步骤如下:
1.动物背位固定于兔台上,腹股沟部剪毛。
2.用手指触摸股动脉搏动,辨明动脉走向,在该处作局部麻醉并作方向一致长约4-5cm的切口。用止血钳小心分离肌肉及深部筋膜,便清楚地暴露出股三角区。骨三角区上界为鼠蹊韧带,内界为缝匠肌,外界为内收长肌。肌动脉及神经即由此三角区通过。股神经位于外侧,股静脉位于内侧,肌动脉位于中间偏后。
3.用止血钳细心将股神经首先分出,然后分离股动、静脉间的结缔组织,清楚地暴露股静脉,如作插管可分离出一段静脉(约2-2.5cm)。穿两根细线备用。再仔细分离股动脉,将股动脉与其部的组织分离开,长约2-2.5cm。切勿伤及股动脉分支。动脉下方穿两根细线备用。
4.在动物行肝素化后作股动、静脉插管。狗的血管粗大,插管较易。家兔血管细,插管较难;因此要细致耐心和掌握要领。
(1)股动脉插管术:于肌动脉近心端用动脉夹夹住,近心端用细线结扎,牵引此线在贴近远心端结扎处剪开血管向心插入动脉套针或塑料管,结扎固定后备放血或注射用。
(2)股静脉插管术:股静脉插管术,除不需用动脉夹外,基本与股动脉插管相同。但因静脉于远心端结扎后静脉塌陷呈细线状,较难插管,因此可试用静脉充盈插管法。即:在股静脉近心端用血管夹夹住(也可用线提起),活动肢体使股静脉充盈,股静脉远心端结扎线打一活扣,待手术者剪口插入套针后,再由助手迅速结扎紧。
当实验进行中因麻醉过量、大失血、过强的创伤、窒息等各种原因,而使动物血压急剧下降甚至测不到。呼吸极慢而夫规则甚至呼吸停止、角膜反射消失等临床死亡症状时,应立即进行急救。急救的方法可根据动物情况而定。对狗、兔、猫常用的急救措施有下面几种。
(一)针刺
针刺人中穴对挽救家兔效果较好。对狗用每分钟几百次频率的脉冲电刺激膈神经效果较好。
(二)注射强心剂
可以静脉注射0.1%肾上腺素1ml,必要时直接作心脏内注射。肾上腺素具有增强心肌收缩力,使心肌收缩幅度增大与加速房室传导速度、扩张冠状动脉、增强心肌供血、供氧及改善心肌代谢、刺激高位及低位心脏起搏点等作用。
当动物注射肾上腺素后,如心脏已搏动但极为无力时,可从静脉或心腔内注射1%氯化钙5ml。钙离子可兴奋心肌紧张力,而使心肌收缩加强,血压上升。
(三)注射呼吸中枢兴奋药
可从静脉注射山梗莱碱或尼可刹米。给药剂量和药理作用如下:
尼可刹米:每条动物一次注25%1ml。此药可直接兴奋延髓呼吸中枢,使呼吸加速加深;对血管运动中枢的兴奋作用较弱。在动物抑制情况下作用更明显。
山梗莱碱:每条动物一次可注入1%0.5ml。此药可刺激颈动脉体的化学感受器,反射性地兴奋呼吸中枢;同时此药对呼吸中枢还有轻微的直接兴奋作用。作为呼吸兴奋药,它比其他药作用迅速而显著。呼吸可迅速加深加快,血压亦同时升高。
(四)动脉快速注射高渗葡萄糖液
一般常采用经动物肌动脉逆血流加压、快速、冲击式的注入40%葡萄糖溶液。注射量根据动物而定,如狗可按2-3ml/kg体重计算。这样可刺激动物血管内感受器,反射性地引起血压呼吸的改善。
(五)动脉快速输血、输液
在作失血性休克或死亡复活等实验时采用。可在动物股动脉插一软塑料套管,连接加压输液装置(血压计连接输液瓶上口,下口通过胶皮管连接塑料套管)。当动物发生临床死亡时,即可加压(180-2000mmHg)快速从股动脉输血和低分子右旋糖酐。如实验前动物曾用肝素抗凝,由于微循环血管中始终保持通畅,不出现血管中血液凝固现象,因此就是动物出现临床死亡后数分钟,采用此种急救措施仍易救活。
(六)人工呼吸
可采用双手压迫动物胸廓进行人工呼吸。如有电动人工呼吸器,可行气管分离插管后,再连接人工呼吸器进行人工呼吸。一旦见到动物自动呼吸恢复,即可停止人工呼吸。
有条件时,当动物呼吸停止,而心搏极弱或刚停止时,可用5%CO2和60%O2的混合气体进行人工呼吸,效果更好。
采用人工呼吸器时,应调整其容量:大鼠为50次/分钟,每次8ml/kg(即400ml/kg/分钟);兔和猫为30次/分钟,每次10ml/kg(即300ml/kg/分钟);犬为20次/分钟,每次100ml/kg(即2000ml/kg/分钟)。
(一)蛙类
常用金属探针插入枕骨大孔,破坏脑脊椎的方法处死。将蛙用温布包住,露出头部,左手执蛙,并且用食指按压其头部前端,拇指按压背部,使头前俯;右手持金属探针由头前端沿线向尾方刺触,触及凹陷处即枕骨大孔所在。将探针由凹陷处垂直刺入,刺破皮肤即入枕骨大孔。这时将探针尖端转向头方,向前探入颅腔,然后向各方搅动,以捣毁脑组织,如探针确在颅腔内,实验者可觉出针在四面皆壁的腔内。脑组织捣毁后,将探针退出,再由枕骨大孔刺入,并转向尾方,与脊柱平行刺入椎管,以破坏脊髓。脑和脊髓是否被完全破坏,可检查动物四肢肌肉的紧张性是否完全消失。拔出探针后,用一小干棉球将针孔堵住,以防止其出血。
操作过程中要防止毒腺分泌物射入实验者眼内。如被射入时,即需立即用生理盐水冲洗眼睛。
(二)大鼠和小鼠
1.脊椎脱臼法
右手抓住鼠用力向后拉,同时左手拇指与食指用力向下按住鼠头,将脊髓与脑髓拉断,鼠便立即死亡。
2.断头法
实验者戴上棉绿纱手套,用右手握住大鼠头部,左手握住背部,露出颈部,助手用剪刀在鼠颈部将鼠头剪掉。小鼠处死法相同。
3.击打法
右手抓住鼠尾,提起,用力摔击其头部,鼠痉挛后立即死亡。用小木锤用力击打鼠头部也可致死。
4.急性大失血法
可采用鼠眼眶动脉和静脉急性大量失血方法使鼠立即死亡。
5.化学致死法
吸入一氧化碳,大、小鼠在一氧化碳浓度为0.2-0.5%环境中即可致死。
皮下注射士的年,吸入乙醚、氨仿,均可致死。士的年注射量,小鼠为0.76~2.0mg/kg体重,大鼠3.0-3.5ml/kg体重。氯化钾处死大鼠剂量:25%溶液0.6ml/只静脉注入。
(三)狗、猫、兔、豚鼠
1.空气栓塞法
向动物静脉内注入一定量的空气,使之发生栓塞而死。当空气注入静脉后,可在右心随着心脏的跳动使空气与血液相混致血液成泡沫状,随血液循环到全身。如进入肺动脉,可阻梗其分支,进入心脏冠状动脉,造成冠状动脉阻塞,发生严重的血液循环障碍,动物很快致死。一般兔、猫等静脉内注入20-40ml空气即可致死。每条狗由前肢或后肢皮下静脉注入80~150ml空气,可很快致死。
2.急性失血法
先使动物轻度麻醉,如狗可按每公斤体重静脉注射硫喷妥纳20-30mg,动物即很快入睡。暴露股三角区,用锋利的杀狗刀在股三角区作一个约10cm的横切口,把股动、静脉全切断,立即喷出血液。用一块湿纱布不断擦去股动脉切周围处的血液和血凝块,同时不断的用自来水冲洗流血,使股动脉切口处保持畅通,动物3~5分钟内即可致死。采用此种方法,动物十分安静,对脏器无损伤,对活杀采集病理切片标本是一种较好的方法。
3.破坏延脑法
如果急性实验后,脑已暴露,可用器具将延髓破坏,导致动物死亡。对家兔也可用木锤用力锤击其后脑部,损坏延脑,造成死亡。
4.开放性气胸法
将动物开胸,造成开放性气胸。这时胸膜腔的压力与大气压力相等,肺脏因受大气压缩发生肺萎陷,纵隔摆动,动物窒息而死。
5.化学药物致死法
静脉内注入一定量的氯化钾溶液,使动物心肌失去收缩能力,心脏急性扩张,致心脏驰缓性停跳而死亡。每条成年兔由兔耳缘静脉注入10%氯化钾溶液5~10ml;每条成年狗由狗前肢或后肢下静脉注入20~30ml。即可致死。
静脉内注入一定量的福尔马林溶液,使血液内蛋白凝固,动物由于全身血液循环严重障碍和缺氧而死。每条成年狗静脉注入10%福尔马林溶液20ml即可致死。也可将福尔马林与酒精按一定比例配成动物致死液应用。
皮下注射士的年致死:豚鼠剂量为3.0-4.4mg/kg体重,兔0.5-0.5mg/kg体重,狗0.3-0.42mg/kg体重,猫1.0-2.0mg/kg体重。
经口或注年DDT致死;(LD50):豚鼠:经口0.4g/kg体重,皮下0.9g/kg体重。兔:经口0.3g/kg体重,皮下0.25g/kg体重;静脉0.043g/kg体重。狗:静脉0.067g/kg体重。