胺类是比较重要的含氮有机化合物。例如苯胺是合成药物、染料等的重要原料;胆碱是调节脂肪代谢的物质,它的乙酰衍生物——乙酰胆碱是神经传导的递质;乙二胺是制造EDTA的原料等。
(一)胺的构造和分类
胺可以看作是氨(NH3)分子中的氢原子被烃基取代所生成的化合物。通式为RNH2,R2NH或R3N,其中R代表脂肪烃基或芳香烃基,它们分别属于伯、仲和叔胺。

但要注意,这里的伯、仲、叔的含义与醇中的不同,它们分别是指氮原子上连有一个、两个或是三个烃基,而与连接氨基的碳是伯、仲还是叔碳原子没有关系。例如,叔丁醇是叔醇,而叔丁胺却是伯胺。

季胺化合物可看作是铵盐(NH4+X-)或氧氧化铵(NH4OH)分子中氮原子上的四个氢原子都被烃基取代生成的化合物,它们分别称为季铵盐和季铵碱。

仲、叔胺或季铵化合物分子中的烃基可以是相同的,也可以是不同的。
在这里,应注意“氨”、“胺”及“铵”的含义。在表示基(如氨基、亚氨基等)时,用“氨”;表示NH3的烃基衍生物时,用“胺”;而铵盐或季铵类化合物则用“铵”。
胺也可以根据NH3分子中的氢原子被不同种类的烃基取代而分为脂肪胺和芳香胺。氨基与脂肪烃基相连的是脂肪胺,与芳香环直接相连的叫芳香胺。
R-NH2Ar-NH2
脂肪胺 芳香胺
胺还可以根据分子中所含氨基数目的不同而分为一元胺、二元胺和多元胺。
(二)命名
1.普通命名法
这种方法是按照分子中烃基的名称及数目叫做“某胺”。

当胺分子中氮原子上所连的烃基不同时,则按次序规则列出,小者在前,“较优”者在后。
CH3-NH-C2H5
甲乙胺
若原子上连有两个或三个相同的烃基时,则须表示出烃基的数目。

氮原子上同时连有芳香烃基和脂肪烃基的仲胺和叔胺的命名,则以芳香胺为母体,脂肪烃基作为芳胺氮原子上的取代基,将名称和数目写在前面,并在基前冠以“N”字(每个“N”只能指示一个取代基的位置),以表示这个脂肪烃基是连在氮原子上,而不是连在芳香环上。

2.系统命名法
烃基比较复杂的胺,以烃为母体,将氨基作为取代基命名。

季铵化合物的命名与无机铵的命名相似。

(一)物理性质
胺与氨的性质很相似。低级脂肪胺是气体或易挥发的液体,具有难闻的臭味。高级胺为固体。芳香胺为高沸点的液体或低熔点的固体,具有特殊气味,难溶于水,易溶于有机溶剂。芳香胺具有一定的毒性,如苯胺可以通过消化道、呼吸道或经皮肤吸收而引起中毒;联苯胺等有致癌作用。因此,在处理这些化合物时应加以注意。
同氨一样,胺是极性化合物。除叔胺外,都能形成分子间氢键

伯、仲、叔胺都能与水分子形成氢键
易溶于水。胺的溶解度随相对分子质量的增加而迅速降低,从6个碳原子的胺开始就难溶于水。一般胺能溶于醚、醇、苯等有机溶剂。
(二)化学性质
1.胺的碱性和成盐反应
胺中的氮原子和氨中一样,有一对未共用电子对。能接受质子,因此胺具有碱性。

胺的碱性以碱式离解常数Kb或其负对数pKb值表示。Kb值愈大或pKb值愈小则碱性愈强;Kb值愈小或pKb值愈大则碱性愈弱。胺的碱性也可用其共轭酸铵离子的离解常数Ka或pKa来表示。Ka值愈小或pKa值愈大,则胺的碱性愈强。
在水溶液中,脂肪胺一般以仲胺的碱性最强。但是,无论伯、仲或叔胺,其碱性都比氨强。芳香胺的碱性则比氨弱。氨、甲胺、二甲胺、三甲胺和苯胺的碱性强弱次序为:

(1)脂肪胺的碱性 影响脂肪胺碱性的因素有三个。①诱导效应——胺分子中与氮原子相连的烷基具有斥电子诱导效应(+I,
,使氮上的电子云密度增加,从而增强了对质子的吸引能力,而生成的铵离子也因正电荷得到分散而比较稳定。因此,氮上烷基数增多,碱性要增强。②水化作用——在水溶液中,胺的碱性还决定于与质子结合后形成的铵离子水化的难易。氮原子上所连的氢愈多,则与水形成氢键的机会就愈多,水化程度亦愈大,铵离子就更稳定,胺的碱性也就增强。③位阻效应——胺分子中的烷基愈多、愈大,则占据空间的位置就愈大,使质子不易靠近氮原子,因而胺的碱性就降低。
因此,脂肪伯、仲、叔胺碱性的强弱是上述三个因素共同影响的结果。
(2)芳香胺的碱性 芳香胺的碱性比脂肪胺弱得多。例如苯胺的pKb=9.40,这是因为苯胺中氮原子的未共用电子对与苯环的π电子相互作用,形成一个均匀的共轭体系而变得稳定,氮原子上的电子云部分地转向苯环,因此氮原子与质子的结合能力降低,故苯胺的碱性比氨弱得多。

芳香胺氮原子上所连的苯环愈多,共轭程度愈大,碱性也就愈弱。?
■[此处缺少一些内容]■
季铵盐是有机化合物中的强碱。它们在固态时即是离子状态,例如(CH3)4N+O-H易溶于水,其碱性与氢氧化钠或氢氧化钾相当。
季铵盐和铵盐不同,前者是强碱的盐,与氢氧化钠等不发生反应。卤化季铵盐的水溶液用氧化银处理时则生成季铵碱。

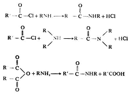
2.酯化反应
伯、仲胺都能与酰化剂(如乙酰氯、乙酸酐)作用,氨基上的氧原子被酰基取代,生成酰胺,这种反应叫做胺的酰化。叔胺因氮上没有氢,故不发生酰化反应。

酰胺是晶形很好的固体,有一定的熔点,所以利用酰化反应可以鉴定伯胺和仲胺。叔胺不起酰化反应,故此性质可用来区别叔胺,并可以从伯、仲、叔胺的混合物中把叔胺分离出来。此外,酰胺在酸或碱的催化下,可水解游离出原来的胺。由于氨基活泼,且易被氧化,因此在有机合成中可以用酰化的方法来保护芳胺的氨基。例如:

3.与亚硝酸反应
伯、仲、叔胺与亚硝酸反应时,产物各不相同,借此可区别三种胺。
由于亚硝酸(HNO2)是一种很不稳定的酸,所以通常用亚硝酸钠和强酸作用产生。
NaNO2+HCl→HNO2+NaCl
(1)伯胺与亚硝酸反应脂肪伯胺与亚硝酸反应,放出氮气,并生成醇、烯烃等的混合物。其反应式可简单地用下式表示:
R-NH2+HONO→ROH+N2↑+H2O
CH3-NH2+HONO→CH3OH+N2↑+H2O
由于此反应能定量地放出氮气,故可用于伯胺及氨基化合物的分析。
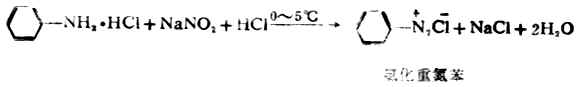
芳香族伯胺与脂肪伯胺不同,在低温和强酸存在下,与亚硝酸作用则生成芳香族重氮盐,这个反应称为重氮化反应。例如:

芳香重氮盐比脂肪重氮盐稳定,如在5℃以下,氯化重氮苯在水溶液中不会分解但温度升高,使分解放出氮气,同时生成酚类化合物。

芳香重氮盐化学性质很活泼,是有机合成的重要中间体。例如,通过重氮盐的反应,可以制备许多芳香族化合物。芳香重氮盐的反应主要分为放氮反应和偶合反应两大类。
放氮反应:重氮基(
基、氢原子等取代,生成相应的芳香族衍生物,放出氮气。因此,利用这些反应可以从芳香烃开始合成一系列芳香族化合物。

偶合反应:重氮盐与酚类或芳香叔胺作用,生成有颜色的偶氮化合物,这个反应称为偶合反应。

重氮盐与酚或芳香胺偶合时,如果羟基或氨基的对位有其它原子或原子团,则可在邻位偶合;如果对位及邻位都有取代基时,则不发生反应。
偶氮化合物都有颜色。许多偶氮化合物可用作染料,称为偶氮染料,有些偶氮化合物的颜色能随溶液PH值的不同而变化,这些化合物可用作酸碱指示剂。例如甲基橙。
(2)仲胺与亚硝酸反应脂肪仲胺和芳香族仲胺与亚硝酸作用生成N-亚硝基胺。

N-亚硝基胺为黄色的中性油状物质,不溶于水,可从溶液中分离出来;与稀酸共热则分解为原来的仲胺,故可利用此性质鉴别、分离或提纯仲胺。
N-亚硝基胺是较强的致癌物质。
(3)叔胺与亚硝酸反应脂肪叔胺因氮上没有氢,与亚硝酸作用时只能生成不稳定的亚硝酸盐。

芳香族叔胺与亚硝酸作用,发生环上取代反应,在芳香环上引入亚硝基,生成对亚硝基取代物,在酸性溶液中呈黄色,若对位上已有取代基,则亚硝基取代在邻位。
由于三种胺与亚硝酸的反应不同,所以可利用与亚硝酸的反应鉴别伯、仲、叔胺。
(一)苯胺
苯胺是最简单也是最重要的芳香伯胺,是合成药物,染料等的重要原料。苯胺为油状液体,沸点184℃,微溶于水,易溶于有机溶剂。新蒸馏的苯胺无色,但久置会因氧化而颜色变深。苯胺有毒,能透过皮肤或吸入蒸气使人中毒。因此,接触苯胺时应加注意。
(二)胆碱
胆碱[(CH3)3N+CH2CH2OH]OH-是一种季铵碱,广泛存在于生物体中,在脑组织和蛋黄中含量较多,是卵磷脂(见第二十章)的组成部分。胆碱为白色结晶,吸湿性强,易溶于水和乙醇,而不溶于乙醚和氯仿等。它在体内参与脂肪代谢,有抗脂肪肝的作用。
胆碱分子中醇羟基的氢原子被乙酰基取代所生成的酯叫做乙酰胆碱[CH3COOCH2CH2N+(CH3)3]OH-,是神经传导的递质。
(三)新洁尔灭

新洁尔灭(溴化二甲基十二烷基苄基铵)
在常温下,新洁尔灭为微黄色的粘稠液,吸湿性强,易溶于水和醇。水溶液呈碱性。新洁尔灭是具有长链烷基的季铵盐,属阳离子型表面活性剂,也是消毒剂。临床上上用于皮肤、器皿及手术前的消毒。