观察样本数较大时,样本率的频数分布近似正态分布,可应用正态分布的规律性检验率的差异显着性。其公式为:

式中p为样本率,π为总体率,σp为根据总体率计算的标准误。由于u服从正态分布,故可用表20-10作判断。
表20-10 |u|值、P值与统计结论
| |u|值 | P值 | 统计结论 |
| <1.96 | >0.05 | 不拒绝H0,差异无统计学意义 |
| ≥1.96 | ≤0.05 | 拒绝H0,接受H1,差异有统计学意义 |
| ≥2.58 | ≤0.01 | 拒绝H0,接受H1,差异有高度统计学意义 |
例20.6根据以往经验,一般溃疡病患者中有20%发生胃出血症状。某医生观察65岁以上溃疡病人152例,其中48例发生胃出血症状,问老年患者出血情况与一般患者有无不同?
按惯例大量观察所得的率可当作总体率看待,则本例总体率π为0.2(20%),1-π=0.8,n=152
标准误差
样本率p=48/152×100%=31.6%=0.316
检验步骤:
1.建立检验假设:
H0:π=π0=0.2
H1:π≠π0
α=0.05
2.计算u值(按公式20.7)

u<2.58,P<0.01,差异有高度统计学意义
按 α=0.05水准拒绝H0,故可以认为老年溃疡病患者较易于发生胃出血,与一般患者有所不同。

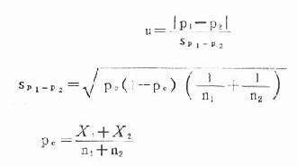
公式(20.8)
公式(20.9)
公式(20.10)
以上公式中:P1,P2为两个样本率
pc为合并样本率
X1和X2分别为两样本阳性例数
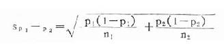
如果两个样本都相当大,则sp1-p2改用下式计算

公式(20.11)
现仍以上述计算率的标准误的例题,进一步检验两个样本率差异有无意义。
基本资料:n1=3315,p1=1.78%=0.0178,1-p1=0.9822
n2=3215,p2=5.60%=0.056,1-p2=0.944
检验步骤:
1.建立检验假设:
H0:π1=π2
H1:π1≠π2
α=0.05
2.计算u值:因两个都是大样本,故采用公式(20.11)以求sp1-p2

3.确定P值和分析:本题u=8.234>2.58,P<0.01,差异有高度统计学意义,按α=0.05水准拒绝H0,可以认为水中碘浓度高的居民甲状腺患病率高于水中碘浓度低的居民。