病例与对照选择是设计中的一个重要问题,其基本原则是所调查的病例足以代表总体中该病的病例,对照足以代表产生病例的总体。
(一)病例的选择
主要有两种,一是医院的病例,来源于某一或若干所医院的门诊或住院部在一定时期内诊断的全部病例或随机样本。优点是较易进行,省经费;缺点是带有选择性,容易产生选择偏倚,仅反映该机构的病人特点,而不是全人群该病的特点。另一来源是某一特定时间和地区内,通过普查、疾病统计或医院汇总得到的病例,然后选择其所有的病例或其中的一个随机样本,其优点是选择偏倚比医院的病例要小,结论推及该人群的可信程度较高。缺点是较难进行,要求有完善的疾病登记,否则,只能调查经过选择的一部分病例;不能代表全人群的情况。
所选病例必须是患同一种疾病的病人,诊断标准、病例的年龄、性别、种族、职业等,选择时要有一个明确的规定。
(二)对照的选择
对照的选择更为复杂,关系到病例对照研究的成败。对照的来源有两个,一是从医院的其他病人中选对照,即在选择病例的医院内选择其他病种的病人作对照,病种以愈复杂愈好。这样比较方便,且这种对照的应答率和信息的质量均较高。另一是当病例是一地区的全部或大部分病例时可以从该地区未患该病的人中选对照。其优点是研究结论推及总体的可靠性大。缺点是选择和调查时都较费事,且无应答率高。
同时选两种对照,即从一般人口中选择对照,又自住院病人中选择对照。研究结果一致,则能增强评价的依据。如结果不一致,则需分析其原因,可能有偏倚。
病例对照研究所需样本含量的估计,须根据下列原则来定:1.人群中暴露于某研究因素人群所占的比例;2.预期与该暴露有关的相对危险度(比值比);3.第一型错误概率α(假阳性率);4.把握度(1-β)。这四项数值确定之后,可用公式计算或从样本含量表中查得需要的病例和对照数。
(一)用公式计算样本含量
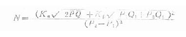
将有关数值代入下列公式求病例组及对照组的例数。

Kα与Kβ分别α与β时正态分布百分位数,可从表29-1中查得,P1与P2分别估计对照组与病例组有暴露史的比例。Q1=1-P1,Q2=1-P2,P=(P1+P2)/2,Q=1-P。
(二)用查表方法估计样本含量
除用公式计算样本含量外,也可以直接查表(附表29-1、附表29-2)。这两个表是当气把握度=0.90时作单侧检验。附表29-2的α=0.05,附表29-3的α=0.01,当人群中暴露者比例(以对照组暴露比例为估计值)与暴露有关的OR不同时,病例对照研究所需要的病例数。表中三行字从上向下依次为1:1、1:2、1:4时所需的病例数,对照数可照比例推算。
表29-1 正态分布百分位数表
| α或β | Kα(单侧检验) Kβ(单侧或双侧检验) | Kα(双侧检验) |
| 0.001 | 3.090 | 3.290 |
| 0.002 | 2.878 | 3.090 |
| 0.005 | 2.567 | 2.807 |
| 0.010 | 2.326 | 2.567 |
| 0.020 | 2.058 | 2.326 |
| 0.025 | 1.960 | 2.242 |
| 0.050 | 1.645 | 1.960 |
| 0.100 | 1.282 | 1.645 |
| 0.200 | 0.842 | 1.282 |