有害物质存在于空气中的物理状态不同,所用的采样方法及仪器也就不同,因此在采样前必须了解有害物质在车间空气中的存在状态。存在状态由有害物质的性质和生产过程所决定。有的以气体(如一氧化碳)和或蒸气(苯、酚等)状态存在;有的以气溶胶:包括雾(如硫酸雾等)、烟(如铅烟等)和尘(如二氧化硅粉尘)状态存在;也有时呈多种状态混合存在于空气中。
包括三个部分,即装有吸收液或吸附剂的采样器、采气动力装置和气体流量计。常用器材的选择可参见实习表2-1。
实习表2-1 常用采样器和采样动力
| 适用状态 | 采样器 | 吸收液或固体吸附剂 | 采样动力及速度 |
| 气体或蒸气 | 小型气泡吸收管 | 吸收液2~3ml | 手抽筒或注射器0.1~1L/min |
| 气体或蒸气 | 大型气泡吸收管 | 吸收液5~10ml | 手抽筒、注射器 电抽气机0.3~1L/min |
| 气体或蒸气 | 喷泡式玻砂管U形玻砂管吸收管 | 吸收液5~10ml | 同上 0.1~2L/min |
| 气溶胶 | 冲击式采样瓶 | 吸收液5~10ml | 电抽气机,3~5L/min |
| 烟、尘 | 滤纸采样夹 | 滤纸:直径10mm 直径25mm | 电抽气机,5L/min 电抽气机,15L/min |
| 粉尘 | 滤膜采样夹 | 滤膜 | 电抽气机 15~25L/min |
1.定量抽气唧筒(手抽筒) 它是一种特制的,只能将空气抽进,不会再将空气推回去的手抽唧筒。用橡皮管将手抽筒和采样器相连后即可抽气采样。但使用前须先校正,确知每一次的气流量。
2.注射器可代替手抽筒采样。
两者均适用于采气量小以及无电源的场合,使用时要控制抽拉筒芯的快慢,以掌握均匀、准确的采样速度,保证达到应有的吸收率。
3.使用电动抽气机等时,必须同时装有测量空气流量用的气体流量计,以便计算采气体积。
4.气体流量计最常用的为转子流量计,其主要构造为一上端稍粗,下端略细的圆锥形塑料管或玻璃管,管内有一个可上下自由移动的转子,管外有表示流速(L/min)的刻度。作用原理为:转子随空气流片下而上通过锥形管而上升。当气流到达某一定流量时,转子即悬浮于一定的高度,空气流速越快,转子上升越高。在连接进气口与流量计的橡皮管上装一螺旋夹,可调节和控制流速。
采样时,常根据不同被测物质,选择相应的吸收液(见实习表2-2),为使被测物质吸收完全,常采取串联的办法,将两个装有吸收液的吸收管用橡皮管进行串联(如SO2),以一定速度(见实习表2-1)抽取空气。有的有害物质如铅烟、铅尘也可用处理过的无铅滤纸或滤膜进行采样。采样完毕将滤纸将滤纸(滤膜)置于无铅容器内,或将采样器口用小橡皮头塞紧后带回实验室,按被测物质的分析要求进行分析。
实习表2-2 毒物测定举例
| 测定物质 | 吸收液 | 分析方法 |
| 汞 | 0.1N高锰酸钾、10%硫酸混合液 | 冷原子吸收法 |
| 二氧化硫 | 0.04mol四氯汞钠溶液 | 比色法 |
| 铅尘、铅烟 | 滤膜、滤纸 | 双硫腙比色法 |
空气中物质浓度(mg/m3)=V1C/V0
V1吸收液的体积(ml)
C相当标准比色管的SO2含量(μg)
V0换算成标准状态下的采气体积(L)
用吸收管采集有害气体及蒸气。
粉尘浓度是指单位体积空气中所含粉尘的量。常用重量浓度单位,以mg/m3表示。
原理:使一定体积的含尘空气通过已知重量的滤膜,粉尘将阻留在滤膜上,根据采样前后滤膜的重量差,即可计算出空气中粉尘的浓度。
(一)操作步骤
采样前准备滤膜。滤膜是用过氯乙烯纤维制成的,具静电性、疏水性、阻力小及耐酸碱等特点。先将滤膜编号。并在分析天平上称重,记录重量,然后将滤膜平铺在固定圈上,贮于采样盒中备用。
(二)采样
1.从采样盒中取出装有滤膜的固定圈,装在采样架上,用橡皮管与流量计及抽气机接通,并检查是否漏气。
2.以20L/min速度采样,采样时间视空气中粉尘浓度而定,一般使滤膜增重约1~20mg。记录采样时间。
3.用镊子取出滤膜,将粉尘面向内折叠2~3次,贮原采样盒中,带回称重。
(三)计算

W1——采样前滤膜重(mg)W2——采样后滤膜重(mg)
V——采气速度(L/min)t——采样时间(min)
(四)注意事项
1.滤膜不耐高温,在55℃以上的采样现场不宜用。
2.装卸滤膜时应选择无粉尘场所。
3.注意采样设备的连接顺序,并检查有无漏气,连接顺序为:污染源→采样器→流量计→采样动力。
4.采样时应详细记录采样地点、日期、时间、方法、样品编号、采样体积、气象条件、生产操作情况、防护设备及使用情况等。
5.如空气湿度高,采样后发现滤膜潮湿时,应将滤膜置干燥器中半小时再称重。重复称重,直至相邻两次滤膜重量之差不超过0.2mg为止。
6.采样后滤膜增重若小于1mg,或大于20mg者,均应重新采样。
原理:取采样后的滤膜溶解于醋酸丁酯中,形成粉尘颗粒的混悬液,然后在显微镜下用目镜测微尺测量粉尘颗粒的大小(μm)。
测量:
1.目镜测微尺的标定粉尘颗粒的大小,是用目镜测微尺测量的,当显微镜光学系统放大倍数改变时,被测物体在视野中的大小也随之改变。但目镜测微尺在视野中的大小却不改变。而物镜测微尺大小改变的系数与被测物体相同。故测量前目镜微尺需事先用物镜测微尺标定。
物镜测微尺总长为1mm,分成100等分刻度,每刻度为0.01mm,即10μm。
进行标定时,先将目镜测微尺放于目镜内,物镜测微尺置于显微镜载物台上,在低倍镜下找到物镜测微尺的刻线,再换成高倍镜,在视野中使物镜测微尺上任一刻度线与目镜测微尺上的任一刻度线相重合,然后在同一方向找出两尺再次相重合的线。分别数出两尺重合部分内的刻度数,即可算出目镜测微尺一个刻度的长度。如果目镜测微尺40个刻度相当于物镜测微尺10个刻度,则目镜测微尺1个刻度相当于2.5μm.
2.粉尘标本片的制备将采有粉尘的滤膜放入小烧杯中,加入醋酸丁酯2ml左右使滤膜溶解,用玻棒充分搅拌使成均匀的粉尘混悬液,取混悬液一滴置于载玻片上,制成涂片,待载玻片上出现一层粉尘薄膜时即成。
3.测量将制备好的粉尘标本片,在高倍镜下,用已标定好的目镜测微尺依次测量粉尘颗粒大小,遇长径量长径,遇短径量短径。通常每个样本至少测量200个尘粒,将结果记录于实习表2-3中。
实习表2-3 粉尘分散度测量记录
| 样品编号 | 采样地点 | 分 散度% | |||
| <2(μm) | 2~(μm) | 5~(μm) | 10~(μm) | ||
4.注意事项
(1)所用仪器、玻璃器皿,应无粉尘污染;
(2)若粉尘浓度过高,影响计数时,可加适量醋酸丁酯稀释;
(3)每批滤膜使用前,就做对照实验,测其被污染的情况。
将采得的空气样品,通过培养,进行细菌菌落计数,或折算成单位体积空气中所含细菌数,对照标准,作出空气清洁或污染程度的评价。
将盛有培养基的平皿持平暴露在空气中一定时间,然后置温箱培养,计算所生长的菌落数。
1.牛肉浸膏50g;蛋白陈10g;氯分钠5g;琼脂20g;加水至1000ml。调节培养基pH7.2~7.4,经15磅30分钟高压灭菌。
2.空气采样
(1)选择有代表性的采样点,一般在室内四角及室中央,放置含营养琼脂的平皿。
(2)打开皿盖(将皿盖置于平皿底下,不可仰放,以防污染),将有培养基的平皿,暴露于空气10~20分钟(视空气清洁程度而定),采样毕合上皿盖,记录采样时间。
(3)培养皿置于37℃温箱培养24小时。
(4)记录5个平皿的菌落总数。
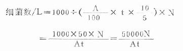
3.结果计算:100cm2琼脂面积上,5分钟所降落的菌落数,相当于10L空气所含细菌数,计算结果如下:

t——平皿暴露于空气中的时间(分钟)
N——培养后,平皿上的菌落总数
A——所用平皿的面积(cm2)
(一)原理:采用LWC-1型离心式空气微生物采样器。当采样器通电后,借助采样器内叶轮的高速旋转,把距离40cm范围内的空气吸进采样器,由于离心力的作用,空气中的粒子冲击到含有琼脂培养基的塑料条上,而空气呈螺旋状离开采样器涡壳流出。
(二)操作步骤
1.
2.把琼脂培养基条,从无菌塑料套中取出,插入采样器头部的涡壳内。
3.
4.将电源开关拨至“开”的位置,指示灯亮。
5.按动按钮,即起动开始采样。
6.采样完毕,关断电源开关。将基条从涡壳内抽出,放入无菌塑料套中(将条的凹面对准套的凸面)送恒温箱中进行培养,然后计算菌落数。
7.菌落计算
菌落形成单位CFU/m3=琼脂培养基条上的菌落数/40×采样时间(min)
琼脂培养基的表面积为34×1cm2。
8.注意事项
(1)一条琼脂基条的采样时间最多不超过8分钟。
(2)琼脂培养基条插入涡壳的开口处时,琼脂的表面要面向叶轮,基条插入后,突出部分应为1.5~2cm。
(3)打开开关“1”时,采样时间30秒,采样量20L;依次类推。
开关“全”关,采样时间8分,采样量320L。