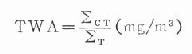
是识别、评价职业有害因素的一个重要依据。其目的是①掌握生产环境中职业危害的性质、种类、强度(浓度)及其在时间、空间的分布状况,为评价职业环境是否符合卫生标准提供依据。②为研究接触水平-反应关系提供基础资料。③鉴定预防措施的效果等。为此应根据生产实际情况及监测目的建立定期监测制度及卫生档案制度。如以粉尘为例,可根据一个工作班中工人不同活动点、多次采样测定的每个点的平均浓度(C)有工人在该点逗留时间(T),计算出时间加权平均浓度(time-weighted average,TWA)以了解工人的接触粉尘情况。

是通过各种检查和分析,掌握职工健康状况,早期发现健康损害征象,以评价职业性有害因素对接触者健康的影响及其程度。以便采取预防措施,控制疾患的发生和发展。健康监护的基本内容包括健康检查、健康监护档案建立、健康状况分析和劳动能力鉴定等。
1.健康检查 包括:(1)就业前健康检查(pre-employmentexamination)指对准备从事某种作业人员进行的健康检查,目的在于了解受检者原来健康状况和各项基础数据;可发现职业禁忌证(occupational contraindication)。表4-2所列为上海市卫生监督法所定的就业禁忌证,可作参考。
表4-2 有毒有害作业就业禁忌证(暂定)
| 有毒有害物质品种 | 就业禁忌证 |
| 矽尘及石棉尘 | 各型活动性肺结核;活动性肺外结核(肠、肾、骨结核等);较重的上呼吸道及支气管疾病(萎缩性鼻炎、鼻腔肿瘤、支气管哮、支气管扩张);严重影响肺功能的肺脏和胸膜病变(肺气肿、肺硬化、严重的胸膜肥厚及粘连等);心血管系统疾病(动脉硬化症、高血压、器质性心脏病等) |
| 铅 | 血液病,贫血;神经系统器质性疾患,肝、肾器质性疾患 |
| 苯 | 就业前体检时,血象指标低于或接近正常值下限者;各种血液病;严重的全身性皮肤病;月经过多或功能性子宫出血 |
| 汞 | 神经系统疾患;肝、肾器质性疾患;内分泌疾患;植物神经功能紊知乱;精神病 |
| 锰 | 神经系统器质性疾病;明显的神经官能症;各种精神病;明显的内分泌疾病 |
| 苯的氨基、硝基化合物 | 中枢神经系统器质性疾病;肝、肾器质性疾患;血液病;植物神经功能紊乱;明显内分泌疾患 |
| 三硝基甲苯 | 乙型病毒性肝炎表面抗原携带者;各种肝脏疾病;各种血液病;各种原因的晶状体混浊或白内障;严重的全身性皮肤病 |
| 二硫化碳 | 神经系统器质性疾患;各种精神病;视网膜病变;高血压病及冠状动脉硬化性心脏病;糖尿病;先天性代谢障碍引起叠氮碘试验阳性者 |
| 氟 | 地方性氟病;骨-关节疾病(如类风湿性关节炎、骨关节病、肥大性脊椎炎、骨-关节畸形等);明显的心血管、肝、肾疾病;明显的呼吸系统疾病 |
| 有机磷农药 | 中枢神经系统器质性疾病;呼吸系统器质性疾病;心血管疾病;肝、肾器质性疾患;内分泌疾病;严重的全身性皮肤病 |
摘自上海市卫生局1983年上海市工企业有毒有害作卫生监督法
(2)定期健康检查(periodical examination)是指按一定时间间隔,对接触有害作业工作进行常规的健康检查,目的在于及时发现职业性疾病的可疑征象;检出高危人群作为重点监护对象;采取预防措施,保护其他工人。
在职业人群中尤其对高危人群,可以列入定期检查的筛检内容有:①呼吸系统疾病。可通过定期问诊,体检,结合肺功能检查及X线胸片。对矽尘接触者,进行一年一次检查,接触煤尘或其他致病作用小的粉尘,可每2~3年进行一次,②听力损伤。如定期测定工作场所噪声强度和工人听力变化。③有毒物质作用,结合生物学检测。我国规定有毒物质接触者,应定期检查,其中毒诊断标准和处理原则由卫生部颁布。截止1992年,已颁布了52种《职业病诊断标准和处理原则》。根据医学知识和积累,诊断标准和检查项目正在扩大。④职业性肿瘤。肺、膀胱、皮肤肿瘤。可通过X线(肺)、细胞学、膀胱镜(必要时对有膀胱危险的高危人群)检查来进行筛检。⑤腰背损伤。可通过患病率、缺勤率等资料分析而获得。
2.健康档案 主要包括:①职业史和病史;②家族史(重点是遗传性疾病史)③基础健康资料,重点在就业前有关指标的水平;④接触有害因素及水平;⑤与职业有关的监护项目;⑥其他,包括嗜好及生活方式。健康监护卡应每个工人一份,编号保管。
3.健康状况分析中常需计算职业病、工作有关疾病和工伤的发病率、平均发病工龄及病伤缺勤率等。
职业流行病学是研究劳动条件对劳动者健康的影响,研究职业性疾病在职业人群中发生、发展、分布和控制的规律,探讨及确定职业有害因素对人的安全接触水平,为评价和制订卫生标准提供科学依据。由于现场干扰因素极为复杂,所以职业流行病学调查,需要搜集相当数量的资料,特别在研究有害因素的慢性影响时,常需长期的观察累积资料才能进行分析、评价。
职业流行病学调查多为分析性流行病学调查。常用横断面调查、队列调查、病例对照调查。
常用于测试化学物的毒性,包括动物实验和体外测试系统,是评价职业性有害因素的有效手段之一,也是评价化学物毒性的依据。但是在使用动物实验资料时,应注意存在动物种属易感性的差异、寿命的不同、接触方式和环境差别等,尤其当动物样本数量不足时易产生推导偏差等。
职业病的发生取决于三个因素:即人(接触者)、职业有害因素的存在,以及职业有害因素作用条件。这三者的因果关系,决定了职业性病损的可预防性,而且只有采取预防的手段,才能防止职业病的发生。
为了预防职业有害因素对接触者的危害,应重点加强第一级和第二级预防,以便及早发现受到影响的人。
1.加强健康监护。
2.加强个人防护 个人防护有具包括呼吸防护器(防尘防毒用的口罩、面罩)。面盾(防紫外线)、防护服(防酸、碱、高温)、手套(防振动)、鞋等。应根据危害接触情况而选用。
3.保健膳食 为增强机体抵抗力,保护受职业危害作用的靶组织、靶器官、应根据接触有害因素作用性质和特点,适当补充某些特殊需要的营养成分。如对高温作业者,因大量出汗,盐份、水溶性维生素、氨基酸分解产物大量排出,故应补充:①水份,少量多次;②无机盐(尤其是氯化钠,每天随汗可损失20~25g);③蛋白质,使占总热量的13%~14%优质蛋白质占总蛋白质的50%;④维生素C(150mg)、B1(5mg)、B2(3~5mg)。食物宜清淡为主。
根据毒物损害作用,应对接触者,给予特殊营养。例如损害肝脏为主时,应给以保肝食物,如优质蛋白质,易吸收的碳水化物和多种维生素;对铅作业工人补充维生素C、低钙膳食;苯的慢性作用主要损害造血系统,需补充优质蛋白质(保肝)、铁、维生素C和维生素不B6,并应适当控制膳脂肪和总热能。
4.加强健康教育 使人们正确认识职业有害因素,提高自我保健意识,自觉参与预防,并做好个人卫生和培养良好的卫生习惯。不在车间内吸烟、用膳。
应采用工程技术措施,尽早消除和减轻危害,预防和控制职工危害。着重在以下方面:
1.预防职业有害因素的发生 采用适当的生产工艺,包括加料、出料包装等方法,以减少空气污染,贮存中注意温、湿度。用低毒物质代替高毒物质。
2.控制职业有害因素的扩散 对粉尘、有毒蒸气或气体的操作在密闭情况下进行,辅以局部吸风。有热毒气发生时,可采用局部排气罩。
3.
(三)控制职业有害因素的作用条件
职业有害因素的作用条件是能否引起职业病的决定性前提之一,其中最主要的是接触机会和作用强度(剂量),决定接触机会的主要因素是接触时间。因此,在保护职业人群健康时,还应考虑作用条件,通过改善环境措施,严格执行卫生标准来达到控制职业有害因素。