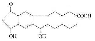
地诺前列酮 Dinoprostone〔Ⅰ〕
(前列腺素E2,ProstaglandinE2,PGE2)

前列腺素(PG)是一类具有广泛生理活性的不饱和脂肪酸,广泛分布于身体各组织和体液。最早从人精液和羊精囊提取获得,与生殖药理密切相关的是前列腺素E1(PGE1)、前列腺素E2(PGE2)和前列腺素F2α(PGF2α)等三种。此外,还合成了多种前列腺素衍生物,如15-基前列腺素F2α、15-甲基前列腺素E2以及16,16-双甲基前列腺索E2等。
PG具有多种的生理作用:能兴奋妊娠子官、胃肠道和心脏平滑肌,但对血管和支气管平滑肌则有抑制作用;参与并维持生殖功能,但又具有使黄体萎缩的抗生育作用;参与神经细胞活动、血凝和血压的调节活动及防止消化性溃疡的生成(细胞保护作用);它既能促使细胞内环磷腺苷生成减少而发挥抗脂解作用(抑制甘油三酯的分解),又有调节激素或其它生理活性物质功能的作用。
【性状】PGE2为无色结晶,熔点60~68℃。
【药理及应用】对各期妊娠子宫都有收缩作用,以妊娠晚期子宫最为敏感。给予足月或接近足月妊娠的孕妇静滴所引起的子宫收缩,类似正常分娩时所见。静滴应用尚能使早期或中期妊娠子宫产生足以导致流产的高频率和大幅度收缩。阴道内、宫腔内或羊膜腔内给药,也均能兴奋早、中期妊娠子宫并导致流产,可用于中期妊娠引产、足月妊娠引产和治疗性流产,对妊娠毒血症(先兆子痫、高血压)、妊娠合并心肾疾患者、过期妊娠、死胎不下、水泡状胎块、羊膜早破、高龄初产妇等均可应用。
【用法】应用前,将前列腺素E2和碳酸钠溶液各1支加入10ml生理盐水中,摇匀使成稀释液,供宫腔给药或静脉滴注给药。静滴:将上述含2mg前列腺素民的稀释液加入5%葡萄糖液500ml中滴注,一般滴速:中期妊娠引产4~8μg/分(15~30滴/分左右);足月妊娠引产1μg/分。宫腔内羊膜腔外给药:每次给药200μg,2小时给药1次。给药3小时后,亦可酌情加用适量缩宫素,以加速产程进展。
【注意】
(1)必须严密观察宫缩情况,随时调节用药剂量,以防止宫缩过强而发生子宫破裂。
(2)静滴时,少数可出现类似静脉炎症状,停药后常自行消失。
(3)少数病例出现呕吐或轻度腹泻等。
(4)既往有癫痫病史者应慎用。
【制剂】注射液:为前列腺素E2的无水乙醇灭菌溶液,每支2mg。另附每支1mg碳酸钠的溶液及10ml的生理盐水。
【贮法】置冰箱内保存。