一种新的药物或治疗方法是否有效以及疗效如何,这是临床医生经常需要解决的问题。临床试验(clinical trial)是用来在病人身上比较不同治疗效果的一种科学的、具有说服力的试验方法。目的是研究药物、手术、放射治疗以及其他各种治疗措施的疗效和不良反应。
(一)临床试验设计
在临床进行药物等治疗方法的效果观察时,所遇到的影响因素远较在实验室复杂得多,而且不易控制。因此必须有周密的合乎科学的试验设计,有了它就可以用比较经济的人力、物力和时间,最大限度地获得可靠的资料,并从中得出有说服力的结论。周密的试验设计应包括:
1.试验对象对其总体的代表性 临床上同一疾病其严重程度不一,病人性别、年龄各异,对个别特殊对象的临床试验,其结果不一定能代表患病人群总体。因此,在做试验前应考虑好对象的代表性,并作出规定。
2.诊断 诊断必须有一定标准。确定诊断标准后必须严格按标准纳入及排除试验对象。标准过宽则易混入假阳性病人。
3.在均衡和齐同条件下设立对照组 对照组是临床试验的比较基础。正确设置对照组是试验设计的一个核心问题。在任何科研项目中都需要设立对照组,有了对照才能进行比较。对照的作用在于用对比鉴别的方法来研究处理因素的效应,它可以减少或防止偏倚和机遇产生的误差对试验结果的影响。尤其对可自然痊愈及变化的疾病,有季节变化的慢性病,在以主观感觉或心理效应作为主要观察指标时,都要有相应的对照,以减少由于自愈、季节变化和主观心理效应带来的偏倚。否则会误认为用一种药物或一种疗法治疗某病,病情有好转,该药就一定有效,或者认为该药无疑是病情好转的主要原因,实际上并不然。如鸡血疗法、卤碱疗法、甩手疗法等从轰动一时的“百病皆治”到销声匿迹的“效果不佳”甚至有副作用。这就是未经很好设计对照而犯错误的例子。
现在所谓保健品的效果宣传也都回避有无对照及如何对照这个关键问题,而是以引证所谓“专家谈话”“用户来信”某人“亲身经验”等违反科学方法的手段作为“证明”。
作为医生,必须掌握疗效分析的原则,才能对病人的治疗作出正确的决策,并能对大量虚夸的广告和不确实的疗效报告作出自己的判断,才不至于不自觉地作了“义务推销员”而损害病人利益。
严格地说,对照要求除了少一个处理因素之外,其他条件均应与患者组尽量一致。这就是均衡可比的原则。但是,在临床实际中,只要求在主要混淆因素和偏倚来源上均衡可比,就是一个较好的对照了。
现介绍常用的3种对照设计方法:
(1)配对比较设计:将研究对象按某些特征或条件配成对子,这样每遇到一对就分别给予不同处理。如在疾病防治工作中,可选取同年龄组(年龄相差5岁以内),同性别、同疾病、同病情的患者配对进行对比观察。统计方法可用配对资料的t检验法或配对x2检验。配对设计能减少每一对内部的实验误差,故较组间比较设计的效率要高。
(2)自身对照设计:即用同一病人,按治疗前后进行疗效的比较。如50例即得50个差值,有了此数据即可作前、后比较的均数差异显著性检验(t检验)。这种设计方法既节约例数,又容易控制试验条件,因为对照和试验在同一病人身一进行,是比较好的一种设计。
(3)组间比较设计:设计时将病例分为试验组和对照组。在临床试验中对病人的处理比较复杂,经常的做法是以常规有效或传统的疗法作对照。在两组确实可比的情况下,将可得到的数据用两均数或x2检验进行统计学处理,才能判断其结果。这种设计效率不如配对设计,常要用较多的观察单位才能得到与其他设计相似的效果。如两组例数相等,又较例数不等时效率高。
总之,设立对照组的原则是:①对照组必须在开始试验前设计好;②对照组在同时期比不同时期好,在本单位比外单位好;③对照组与试验组均应按随机分配的原则分组。
从以上所述,可见对照组在临床试验设计中的作用及正确选择对照组的重要性。如试验设计中缺乏对照组则往往事倍功半,甚至得出错误的结论,不仅浪费人力、物力,更重要的是,将实际无效的药当特效药来用,耽误了病人的病情。因此说对照组是临床试验的比较基础,设不设对照组是临床试验的核心问题,再强调也不过分。
4.临床试验中如何决定样本大小 由生物体(特别是人)个体间有差异,无论多么高明的抽样技术都不可能使样本完全反映总体的情况,所以抽样误差总是存在的。根据数理统计原理,样本越小,误差越大。
如曾有人用某药治疗5例高血压病人,全部治愈,于是就说治愈率为100%。这就不妥。因为经计算率的抽样误差可知,根据这5例的治疗情况,此方法对高血压的真正治愈率可能高达100%,也可能低达47.8%(因这百分率的95%可信限是47.8%~100%)。如果治疗例数增加到50例,仍然全部治愈,其治愈百分率的95%可信限为93%~100%。所以说明样本必须够大,才能得出较正确结论,不然往往不能区别差异是研究因素还是其他偶然因素所造成。
一般说,试验的样本愈大则愈可靠,但试验对象过多,有时反而不易达到精密、迅速,甚至造成不必要的浪费。而例数太少,又不易得出有显著差别的结果。因此试验中需要多少试验对象是一个值得研究的问题。
估计样本大小需要了解以下几个条件:①采用何种试验设计方法。②了解合并标准差或合并阳性率的值各为多少。如无过去经验作参考,可用较少试验对象先做一个预试验。③明确规定2个率或平均数间显著差别时最小相差数。
医学研究中统计资料一般分为测量资料和计数资料两大类,不同的统计资料进行样本含量大小估计时要用不同的方法。
(1)测量资料试验单位数的估计:测量资料是指每个观察单位的测量结果都用数量大小表示出来,如血压、脉搏、红细胞数、白细胞数、转氨酶、胆固醇值等。
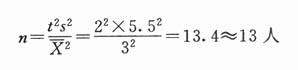
1)配对比较(自身对照比较)

上两式中n为样本含量;t为给定条件下的t值;X为差数的均值;s为差数的标准差。
例:以A药治疗缺铁性贫血患者以提高血红蛋白量。已知治疗前后血红蛋白数,其差数的标准差为5.5g%,假如该药有效,要求治疗前、后血红蛋白数相差3g%,问需观察多少病人的疗效?
先用大样本公式计算

由于n<30,故用小样本公式重算,当n=13,自由度=13-1=12,查t值表,t0.05(12)=2.179代入小样本公式:

故可用16人作治疗观察。
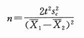
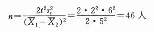
2)成组比较:在成组比较中,当n1=n2时,试验效率最高。

Sc为合并标准差。
例:有人测定急性克山病患者与克山病区健康人的血磷(mg%),通过预试验已知试验组与对照组均数相差(即X1-X2)为2.5mg%,合并标准差为6mg%,t可以取2(95%正确性),求n等于多少?

故每组需46人,两组共需92人。
(2)计数资料试验单位数的估计:临床试验中了解某药对某病的疗效,常要清点治愈、好转、无效、死亡等各组例数;临床检验中要清点呈阳性或阴性反应各若干,如结核菌素试验、寄生虫卵检查等。这些将观察单位按品质标志分组资料称计数资料。
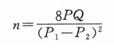
计数资料每组所需单位数(n),可用以下两种方法得到:
1)查表法:根据预计两组的发病率(或治愈率)查表(见附表1)。如通过预试验已知甲组阳性率为45%,乙组阳性率为65%,则两组百分比相差显著时(95%正确性)所需例数为113人。
2)由公式推出:当n1=n2=n时,则试验效率最高。计算公式如下:

P为合并阳性率;Q为合并阴性率,即Q=1-P;P1及P2为已知两组的率。
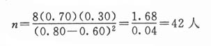
例:对迁延性及慢性肝炎患者用新疗法治疗有效率为80%,用原有疗法治疗,有效率为60%。两组合并有效率为70%,问两组需观察多少例,两种疗法的有效率相差才显著?
P1=0.80,P2=0.60,P=0.70 Q=0.30,代入上式:

故每组需观察42人,两组共观察84人。
5.临床试验必须遵循随机化原则分组 在进行一项临床试验工作时,往往由于时间、人力、物力限制不能把所有患者都作为研究对象,而只能抽取其中一部分作为样本,使它能代表总体。抽样如遵循随机化原则则所抽的样本研究结果能推至总体。随机抽样不等于随便抽样,亦即患者分到试验组或对照组是不带主观因素,不凭医生或病人主观意愿。随机化是需要一定的技术来实现的。
如研究治疗某病的药物疗效时,用志愿者作试验组,用拒绝者作对照组。这样即使试验结果该药物有效,也不一定属实。因志愿者可能是病情严重者,也可能是病情较轻者,所以试验组中有药物和病情严重程度两个因素在影响效果。这种分组就不是随机化分组。
随机抽样是研究的样本由总体中抽取时,使每个单位都有同等机会可能被抽中。
随机抽样共分4种:单纯、分层、机械及整群随机抽样法,这几种方法常结合使用。
随机化的方法很多,除用抽签、抓阄、掷骰等法外;比较科学又方便的方法是用随机数目表。随机数目表是按随机抽样的原理编制并经统计学方法检验,其结果比抽签方法更理想。这是一种最简便适用的随机化方法。使用时可参阅有关的统计学书籍。目前,除了查阅随机数目表得到随机数字外,更简单的方法是用带随机数目的电子计算器或计算机等可直接由按键而得出一系列随机数目。
总之,当我们进行临床试验时,将凡可能影响结果的因素,一切顺序,一律加以随机化,并有一定数量重复的情况下,此时再进行显著性检验,从而对试验结果作出评价才是有意义的。
以上谈及临床试验设计必须遵循“对比齐同”、“重复”和“随机化”等原则。除此之外,还应注意到观察指标的选定和避免主观因素等问题。
观察指标选定的标准和界限应明确肯定。一般说,自觉症状是需要的,但必须重视取得客观指标如体征、化验、X线片、细菌培养、心电图、病理切片等资料,并应努力寻找特异度和灵敏度高的客观指标。
如有人比较洋地黄和夹竹桃叶治疗心力衰竭的疗效。将“心悸气促减轻,心前区郁闷改善、浮肿消退”等作为疗效观察指标,结果往往难于统一判定,如能用“呼吸、心率次数或心电图变化”等作为观察指标就比较客观一些。
因此在临床试验中,避免模棱两可、笼统的观察指标,尽量采用客观和确切的指标,将有助于准确的评定结果。
避免主观因素:在试验设计和判断疗效时,如何避免主观因素,这是值得注意的问题。有许多药物疗效(如止痛、安眠、止咳药等),不能用客观指标来进行测定。当医生多次询问受试的病人,病人为了感谢医生的热情关怀,也常会表示病情有所减轻,这样就会影响真实效果。在动物实验中,也有人曾经发现“安慰”现象,每天受人爱抚2~3次的动物能耐受较大的毒性。
6.盲法试验(blind trial)任何临床试验都希望得到无偏倚的试验结果,而偏倚可以来自从临床试验设计到结果分析的任一环节,可以来自参加研究的医护人员,也可来自受试病人。如何才能使临床试验避免这一类偏性。临床上常采用盲法试验。
在临床试验中,如果试验的研究者或受试者一方或双方都不知道试验对象分配的所在组,接受的是试验措施还是对照组,这种试验的方法,称盲法试验,其目的是为了有效地避免受试者或研究者的偏倚和主观偏见。
根据盲法程度可分为单盲和双盲法:
(1)单盲试验:研究者知道每个病人用药的具体内容,而病人不知道。方法简单、容易进行,可消除受试者的心理偏性,治疗中遇到的问题便于医师及时作出处理,但在收集和评价资料时,有可能受来自研究者所产生的偏倚的影响。有时医护人员在判断疗效标准中对治疗组掌握得松、对照组严,或怕对照组没有得到治疗而感到不安,自觉或不自觉给对照组病人加以“补偿性”治疗等。这些显然会影响试验结果的正确性。
对照组需用安慰剂,安慰剂(placebo)是一种在外形上与“有效”的药物无法区别,但又不具有特异有效成分的制剂。安慰剂还要与试验药物在颜色、气味、溶解度和包装上都要高度相似。在安慰剂对病人病情有不利影响时,可用标准药,它也要与试验药的色、形、味或剂型相同。通过安慰剂研究已经表明有不少经常用的药物效果不理想,如护肝药肝泰乐、抗心绞痛的氨茶碱等。
(2)双盲试验:执行医疗措施的医护人员和病人都不知道每个病人接受何种治疗,这样可使医生对每个患者询问、检查同样认真负责、实事求是。此法的优点可避免来自病人和医生两方面的偏倚。但双盲试验执行较困难。
双盲法试验要求有一整套的完善代号和保密制度,还要有一套保证安全的措施。对一些危重病人的治疗不宜使用。
(3)三盲法:即受试者、观察者和资料分析或报告者都不知道参与受试的对象分在哪个组。它可避免资料分析者引起的偏倚,但执行过程中有时有一定困难,在临床试验中通常应用“双盲”随机对照试验。
总之,盲法试验适用于疗效评价依赖于病人或医师的药物试验。例如,镇定药或安眠药的评定及抗精神病药物的评定等。主要根据病人的主诉来决定药效的试验可用单盲法;主要由医师主观判定决定药效的试验须用双盲法。
由以上所谈到的一些问题,可见临床试验设计与一般实验设计的原则是一致的。但由于影响试验的因素比较复杂,而且试验的对象是人,所以必须以不影响病人治疗为先决条件。当患者病情严重时,首先应考虑抢救,不宜选作科研对象。新用药物应当事先经过各种周密试验(包括动物试验在内即临床前研究),对药物的安全性有相当把握,才能进行小规模临床试验(Ⅰ期试验),而且在临床试验过程中必须严密观察,万一有比较严重副作用发生时,应当立即停止试验。
(二)临床试验的五大基本类型
1.历史性对照研究
2.非随机同期对照研究
3.随机对照试验
4.交叉试验
5.序贯试验
现着重介绍随机对照试验,并简单说明序贯试验方法
1.随机对照试验(randomized controlled trial,RCT)RCT是队列研究的特例,它严格按照随机化的方法,将研究对象分为试验组(或干预组)和对照组,前瞻性地观察两组结果,然后进行分析比较、评价,从而得出研究的结论。

图6-1 随机对照试验模式图
如“双盲对照电针与阿米替林治疗抑郁症疗效分析”(摘自中华神经精神病杂志.1985,18(15):273)一文中的临床试验即是随机对照试验。
该试验在进行分组时,先按随机数字表进行分组,并用双盲法来避免试验偏性。
设三组进行试验①电针加中性胶囊;②阿米替林胶囊;③电针加阿米替林胶囊,这样既可比较电针与阿米替林的效应,又可查明电针加用阿米替林有否协同作用。
试验还检测了不同医师之间的一致性,一致性测验达98%~100%,达到了统一的诊断标准。三组病人在治疗前病情一致有可比性,最后对试验结果作了统计分析。
随机对照试验的优缺点:
优点:①研究结果的对比性好:随机分配,可防止一些干扰因素的影响,并维持两组间情况的相对一致性,从而保证了研究结果的可比性。②随机分配,盲法治疗和分析,其结果与结论,将更为客观可信。③研究对象有一定诊断标准,标化的防治研究措施和评价结果的客观标准,保证试验的可重复性。④用盲法试验可使干扰减到最小程度。⑤统计学分析在随机对照试验的基础上,具有更强的说明力。
缺点:①该试验在时间、人力、财力上花费是比较大的;②代表性仅限于合格的被研究病人,所以亦具有一定局限性;③关于医德问题:如安慰剂用得不当,会出现医德问题;④随诊时间较长时,将增加病人流失。
2.序贯试验(sequential trial)序贯试验是每次作小量的成对比较试验,将比较结果记于事先设计好的表格中,连续不断地分析获得的资料,一旦达到统计上的显著性,试验就可以停止。这种可以没有预先估计的样本含量,每下一步由上一步结果决定的设计称为序贯分析。这种设计能节约试验材料,可以花较少时间得出结论,在临床要初步比较两种处理时,最为适用。常用于疗程短,见效快的疾病。序贯试验方法可见序贯试验专著。
序贯试验的设计类型
(1)质反应与量反应:质反应性序贯试验观察指标是计数资料;量反应性序贯试验观察指标是计量资料。
(2)开放型与闭锁型:开放型序贯试验不预先确定最多样本数,而闭锁型试验须预先确定最多样本数,防止样本过大,迟迟做不出结论。
(3)单向与双向:当比较2个药(A与B)的疗效时,第一种情况是只要求回答A药是否优于B,结论可以是A药优于B药,或A药不优于B药,这种情况属单向序贯试验。第二种情况是不但要求回答A药是否优于B药,而且要求回答B药是否优于A药。这种情况属双向序贯试验。以上情况可归纳为许多类型的序贯试验。

如周伟等对石家庄市传染病医院用两种疗法治疗重症肝炎。治疗组30例,存活16人,死亡14人;对照组30例,存活9人,死亡21人。根据国内外治疗重症肝炎生存率现状,将其治疗结果作一开放型单向序贯试验,其标准为:
试验组存活率(P1)≥50%,认为新疗法可接受。对照组存活率(P0)≤30%,认为原综合疗法无优势。假阳性率α=0.05,假阴性率β=0.05。当试验组治疗完18个病人后,就得出了接受新疗法的结果,而且对照组试验到25人时就得出原综合疗法无优势的结果。
而如果将上述资料用x2检验则要将试验延续一年后,试验组增到58例,对照组增到40例,对照组增到60例时,方得出试验组存活率显著优于对照组的结论。所以序贯试验可节省病例、节省时间。但对慢性病及一种新药物需要大量筛选时就不宜用。
(三)临床试验的实施
疗效的分析可以针对一组完整的治疗方案,也可以是某治疗单元的评价,如冠心病监护作用。评价的指标可以是存活或死亡、有效或无效、并发症的发生与否、某种症状或体征的出现与消失,以及衡量病情严重程度的实验室指标等。在实施临床试验时可采取符合设计原则的各种形式。这里介绍一个试验,供学习之用。
糖制冠心片双盲法治疗冠心病心绞痛112例疗效分析(就中华心血管病杂志.陈可冀等,1982,10(2),本书有改编)。
临床试验时间:1980年8月~1981年8月。
资料与方法如下。
(1)病例选择标准:选择男性40岁以上,女性45岁以上,符合下述条件之一,心绞痛发作每周至少3次以上者。
1)典型心绞痛,平时或疼痛发作时心电图呈心肌缺血改变或运动试验阳性者。
2)心绞痛症状虽不典型,但心电图诊断明确者。
(2)分组:将选择的112例按随机分配原则,将病例分为甲、乙两组。甲组60人,乙组51人,进行双盲法治疗。两组用药顺序进行自身前后交叉。两组患者心绞痛类型的分级是可比的,见表6-1。治疗期间进行仔细的观察和记录,治疗结束后对甲、乙两组疗效进行比较。
表6-1 心绞痛类型与轻重分级
| 例数 | 轻 度 | 中 度 | 重 度 | ||||
| 精制冠心片组 | 安慰剂组 | 精制冠心片组 | 安慰剂组 | 精制冠心片组 | 安慰剂组 | ||
| 心绞痛典型 | 154 | 22 | 25 | 48 | 47 | 6 | 6 |
| 心绞痛不典型 | 70 | 18 | 15 | 17 | 18 | 1 | 1 |
注:112例分组进行自身前后交叉治疗,故总例数为112×2=224
(3)方法:精制冠心片(代号为Ⅰ号片)与安慰剂(代号为Ⅱ号片),两者外形与剂量完全相同。用法均为每次6片,一日3次,4周为一疗程。甲组第一阶段服Ⅰ号片,第二阶段改服Ⅱ号片;乙组第一阶段服Ⅱ号片,第二阶段改服Ⅰ号片。服药期间停用其他抗心绞痛药物,允许在心绞痛发作时含硝酸甘油片或其他速效中药。服药前,两组均作心电图、肝功能、血、尿常规检查。两个疗程结束时,分别复查上述项目。然后评定疗效。
(4)疗效评估
1)评定标准:疗效评定与心绞痛分级,按1974年冠心病及高血压病普查预防座谈会修订的“心绞痛症状疗效评定标准”进行。
2)结果:
①对112例心绞痛患者进行不同疗法疗效比较,如表6-2可见,甲乙两组服用精制冠心片疗效分别为77.0%与84.3%,两组比较无显著差异(P>0.25)。
表6-2 不同疗法对心绞痛疗效比较
| 组别 | 例数 | 精制冠心片 | 安慰剂 | ||
| 有效(%) | 无效(%) | 有效(%) | 无效(%) | ||
| 甲 | 61 | 77.0 | 23.0 | 8.2 | 91.8 |
| 乙 | 51 | 84.3 | 15.7 | 25.5 | 74.5 |
| 合计 | 112 | 80.4 | 19.6 | 16.1 | 83.9 |
甲、乙两组分别于第一、第二疗程交叉服用,各112例,其心绞痛总有效率用精制冠心片组为80.4%,而用安慰剂为16.1%。两者相比差异显著(P<0.01)。甲组改服安慰剂后疗效降至8.2%,而乙组改服精制冠心片后疗效升至84.3%。甲、乙两组各自两个阶段相比,均有明显差异(P<0.001)。
②心绞痛分级与心绞痛疗效,见表6-3。精制冠心片对轻、中度心绞痛疗效较好,分别为82.5%与80.0%。安慰剂对多数患者无效。
表6-3 心绞痛轻重与疗效
| 心绞痛分级 | 例数 | 有效 | 无效 | |||
| 例数 | % | 例数 | % | |||
精制冠心片 | 轻度 | 40 | 33 | 82.5 | 7 | 17.5 |
| 中度 | 65 | 52 | 80.0 | 13 | 20.0 | |
| 重度 | 7 | 5 | 71.4 | 2 | 28.6 | |
| 安慰剂 | 轻度 | 40 | 9 | 22.5 | 31 | 77.5 |
| 中度 | 65 | 9 | 13.8 | 56 | 86.2 | |
| 重度 | 7 | 0 | 0 | 7 | 100.0 | |
以上精制冠心片的临床疗效观察,病例选择是根据统一诊断标准,随机分组,双盲治疗,并进行自身前后交叉用药,所以设计是比较严谨。两组病例的条件是可比的。观察结果防止了偏倚。因此,试验结果是可信的。