磷脂是含磷的类脂化合物,广泛地分布在动植物中,是细胞原生质的固定组成成分。磷脂主要存在于脑、神经组织、骨髓、心、肝及肾等器官中。蛋黄、植物种子、胚芽及大豆中都含有丰富的磷脂。最常见的磷脂是磷脂酰胆碱、磷脂酰乙醇胺和神经鞘磷脂。它们的构造与油脂相似,但组成较为复杂。它们的水解产物有醇(甘油或其它醇)、脂肪酸、磷酸和含氮的有机碱。
(一)磷脂酰胆碱(卵磷脂)
纯的磷脂酰胆碱是吸水性的白色蜡状物,在空气中由于不饱和脂肪酸的氧化而变为黄色或棕色。磷脂酰胆碱不溶于水及丙酮,易溶于乙醚、乙醇及氯仿中。磷脂酰胆碱在脑、神经组织、肝脏、肾上腺及红细胞中含量较多,蛋黄中含量特多(约占8%-10%),所以叫做卵磷脂。
磷脂酰胆碱根据磷酸与甘油连接位置的不同,有α-及β-两种异构体,自然界的磷脂酰胆碱是α型的。磷酯酰胆碱中与磷酸相结合的含氮有机碱是胆碱。磷脂酰胆碱分子中,甘油部分的β碳原子是手性碳原子,因而有D型和L型两种构型。自然界存在的是L型的。

自然界的磷脂酰胆碱是几种磷脂酰胆碱的混合物,主要是组分中的脂肪酸不同,经水解后得到甘油、脂肪酸、磷酸和胆碱。常见于磷脂酰胆碱中的脂肪酸有棕榈酸、硬脂酸、油酸、亚油酸、亚麻酸及花物四烯酸等。某些毒蛇的毒汁中含有一种磷脂酶,能使β位脂肪酰基水解脱落,生成溶血磷脂酰胆碱,从而破坏了细胞膜,引起溶血。
(二)磷脂酰乙醇胺(脑磷脂)
磷脂酰乙醇胺在脑组织中含量甚多,故又称脑磷脂。它和磷脂酰胆碱并存于机体各组织及器官中,它的构造和理化性质均与磷脂酰胆碱相似,只是在磷脂酰乙醇胺中,与磷酸结合的是胆胺(HO=CH2-CH2-NH2)。

磷脂酰乙醇胺性质与磷脂酰胆碱相似,也不稳定,易吸收水分,在空气中氧化成棕黑色。磷脂酰乙醇胺能溶于乙醚,但难溶于乙醇,这是与磷脂酰胆碱在溶解性方面的不同点。
磷脂酰乙醇胺与血液凝固有关。凝血激酶是由磷脂酰乙醇胺与蛋白质组成的,它存在于血小板内,能促使血液凝固。
(三)神经鞘磷脂(鞘磷脂)
脑和神经组织中含有大量的鞘磷脂,脾、肝及其它组织中含量较少。鞘磷脂的组成和结构与磷脂酰胆碱、磷脂酰乙醇胺不同,其分子中不含甘油部分,而是含有一个长链的不饱醇——鞘氨醇。1mol鞘磷脂完全水解后,可得到鞘氨醇、脂肪酸、磷酸和胆碱各1mol。

鞘磷脂分子中的脂肪酸连接在鞘氨醇的氨基上,磷酸以酯的形式与鞘氨醇及胆碱相结合。

鞘磷脂是无色晶体,在光的作用下或在空气中不易氧化,比较稳定,不溶于丙酮及乙醚,而溶于热乙醇中。
糖脂是细胞结构包括神经髓鞘的组成部分,也是构成血型物质及细胞抗原的重要组分。重要的糖脂有脑苷脂、神经节苷脂等。脑苷脂是含糖、脂肪酸和鞘氨醇的类脂,其构造如下:

脑苷脂
脑苷脂为白色蜡状物,溶于热乙醇、丙酮和苯中,不溶于乙醚,冷的乙醇和丙酮中。
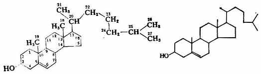
甾族化合物是一类广泛存在于动植物体内的天然有机化合物,如胆甾醇、胆汁酸、维生素D、肾上腺皮质激素及性激素等。许多甾族化合物具有重要的生理作用。
(一)甾族化合物的结构
甾族化合物都含有一个由四个环组成的基本骨架,即由三个六元环的一个五元环稠合的17碳结构。这个骨架是甾族化合物的母核,即环戊烷多氢菲。四个环用字母A,b ,C和D表示,并将17个碳原子按特定顺序编号。
大多数甾族化合物在环戊烷多氢菲的母核上还有三个侧链,它们分别连在C-10,C-13和C-17的碳原子上。

在C-10和C-13上常是甲基(有时是-CHO或-CH2OH),叫做角甲基,这两个甲基的碳原子分别标为C-19及C-18;C-17上连接的是较长的碳链、含氧原子团或其它原子团。这三个原子团都在环平面的上方故用实线表示。环上若有其它取代基,则它们在空间有两种取向。环上的取代基与角甲基取向相同的(即在环平面的上方),称为β构型,用实线表示;如环上取代基与角甲基取向相反(即在环平面的下方),则称为α构型,用虚线表示。
(二)重要的甾族化合物
1. 甾醇类
甾醇是甾环上连有醇羟基的固态物质,故又叫做固醇。从化学结构上看,甾醇是一类饱和的或不饱和的仲醇,C-3上的羟基都是β型的,它们常以游离状态或高级脂肪酸酯的形式存在于动植物体内。
(1)胆甾醇胆甾醇是从胆石中发现的固体状醇,故又称胆固醇。存在于人体的各组织中。

胆甾醇
胆甾醇的结构特点是C-3上有一个β-构型的羟基,C-5和C-6之间有一个双键,C-17上有一个含8个碳原子的烃基侧链。
胆甾醇为无色或略带黄色的蜡状物,熔点148℃,难溶于水,易溶于有机溶剂。
在体内胆甾族C-3上-OH常与脂肪酸结合成胆甾醇脂。

人体中的胆甾醇一部分从食物中摄取,一部分由体内组织细胞自己合成。当人体内胆甾醇代谢发生障碍时,血液中胆甾醇的含量就会增多,并从血清中析出,引起血管变窄,降低血液流速,造成高血压、动脉硬化;在胆汁液中,若有胆甾醇沉积,则形成胆石。
(2)7-脱氢胆甾醇 7-脱氢胆甾醇也是一种动物甾醇,存在于人体皮肤中。当受到紫外线照射时,它的B环打开转变为维生素D3。

7-脱氢胆醇 维生素D3
因此,多晒太阳是获得维生素D3的最简单方法。
(3)麦角甾醇麦角甾醇存在于酵母及某些植物中,属于植物甾醇,和7-脱氢胆甾醇比较,它在C-17的侧链上多一个甲基和一个双键。在紫外线照射下,它的B环打开生成维生素D2。

麦角甾醇 维生素D2
维生素D也叫抗佝偻病维生素,因为缺乏时,儿童会得佝偻病,成人则患软骨症。因此,儿童需要多服用一些维生素D,同时需要多晒太阳。维生素D广泛存在于动物体中,含量最多的是脂肪丰富的鱼类肝脏;也存在于牛乳、蛋黄中等。
维生素D包括几种生理作用相同的物质,其中以维生素D2和D3的作用最强,由于维生素D能促进肠道对钙、磷的吸收,使血液中钙、磷浓度增加,有利于钙、磷沉着,所以能防治佝偻病和软骨病。维生素D是脂溶性维生素,对热和空气中的氧都比较稳定。
2.胆甾酸
在人和动物的胆汁中,含有几种结构与胆甾醇类似的酸,称为胆甾酸。例如胆酸和脱氧胆酸。

它们的结构 特征是:C-17上的侧链较短,只有五个碳原子,末端有一个羧基;胆酸的C-3、C-7和C-12上的羟基为α构型,用虚线表示,和胆酸相比较,脱氧胆酸只是在C-7上少一个氧原子;它们的环上都无双键。
胆酸和脱氧胆酸与甘氨酸(H2N-CH2-COOH)或牛磺酸(H2N-CH2-CH2-SO3H)以酰胺键相结合,这种结合胆酸总称为胆汁酸。在碱性胆汁中,胆汁酸以钠盐或钾盐形式存在,称为胆盐。

分泌到肠中的胆盐是一种乳化剂,对脂肪的消化起着重要作用。胆盐是一种表面活性物质,能降低水的界面张力,使脂肪乳化为微粒并稳定地分散于消化液中,增加了脂肪与脂肪酶的接触机会,从而加速脂肪的水解,以利于脂肪的消化吸收。乳化的脂肪不仅容易消化,而且一部分高度乳化的脂肪微粒,可不经消化而直接由肠粘膜吸收。
3.甾体激素(类甾醇激素)
激素是由动物体内各种内分泌腺分泌的一类化学活性物质,具有很强的生理作用,主要是控制生长、调节代谢和性的功能等。激素分为两大类,一类是含氮激素,如肾上腺素、甲状腺素和胰岛素等;另一类就是甾体激素。根据来源甾体激素又可分肾上腺皮质激素和性激素两类。
(1)肾上腺皮质激素 肾上腺皮质激素是产生于肾上腺皮质部分的一类激素。现已从肾上腺皮质中提出30多种甾族化合物,其中有七种活性较大的激素。这七种化合物的结构特征是:C-3上均有酮基;C-4,5为双键;C-17上有β-羟甲基羰基。它们区别在于,C-11上有无含氧基团和
C-17上有无α-羟基。一般规律是C-11上有含氧基团的肾上腺皮质激素是调节糖代谢的(醛固酮例外),C-11上无含氧基团的为调节水及无机盐代谢的;C-17上有α-羟基的,其生理功能加强。
具有调节糖代谢作用的肾上腺皮质激素有

具有调节水及无机盐代谢作用的有:

在药物方面,可的松和氢化可的松具有抗炎症、抗过敏、抗病毒、抗休克等药理作用,临床上多用以控制严重中毒性感染和风湿病等。目前医药常用比可的松更有效的药物——醋酸可的松和强的松。

(2)性激素性激素可分为雄性激素和雌性激素两类。它们分别是由睾丸和卵巢分泌的物质,对生育功能及第二性征如声音、体型的改变都有决定性作用。
性激素的结构特征是:C-3含有氧;C-4,5间大多数有双键;C-17上没有较长的侧链;环的骨架基本相同,只是取代基或它们的空间排布不同。
睾丸酮是雄性激素,能促进雄性器官和第二性征的发育。临床上多用它的衍生物,如甲基睾丸酮、睾丸酮丙酸酯等。

睾丸酮 甲基睾丸酮 睾丸酮丙酸酯
黄体酮是雌性激素之一,它的生理作用是抑制排卵,并使子宫内的受精卵和胎儿正常发育,临床上用于治疗习惯性流产、子宫功能性出血、痛经和月经失调等。

黄体酮
雌二醇是另一类雌性激素,其结构特征是A环为苯环,C-3上有酚羟基;C-10上无角甲基,C-17上有羟基。由于C-17上羟基构型不同,生理作用也有很大差异,如β-雌二醇的生理活性比α-雌二醇强得多。因此,临床上都采用β-雌二醇。
β-雌二醇是白色或乳白色粉末,临床上用于卵巢机能不全引起的病症,如子宫发育不全、月经失调等的治疗。

β-雌二醇 α-雌二醇