H检验(Kruskal-Wallis法)是用于完全随机设计的多个样本比较的非参数法。其具体步骤见例21.3。
例21.3 某地监测大气中SO2的日均浓度,按不同功能区设置采样点,结果见表21-4“浓度”栏所示,问各功能区SO2日均浓度有无差别?
表21-4 某地1990年1月份SO2日均浓度(μg/m3)
| 对照区 | 工业区 | 商业区 | 居民区 | ||||
| 浓度(1) | 秩次(2) | 浓度(3) | 秩次(4) | 浓度(5) | 秩次(6) | 浓度(7) | 秩次(8) |
| 10 | 1 | 467 | 9 | 231 | 6 | 338 | 7 |
| 30 | 2 | 665 | 15 | 501 | 11 | 352 | 8 |
| 30 | 3 | 709 | 18 | 630 | 13.5 | 485 | 10 |
| 40 | 4 | 802 | 19 | 669 | 16 | 511 | 12 |
| 51 | 5 | 851 | 20 | 677 | 17 | 630 | 13.5 |
| Ri | 15 | 81 | 63.5 | 50.5 | |||
| ni | 5 | 5 | 5 | 5 | |||
(一)建立假设
H0:四个功能区SO2日均浓度总体分布相同
H1:四个功能区SO2日均浓度总体分布不同或不全相同
α=0.05
(二)编秩
先将各组数据由小到大排列,再将各组数据由小到大统一编秩,不同组的相同数据取其平均秩次。如本例有2个630,分别在第(5)、(7)栏,其平均秩次为(13+14)/2=13.5。
(三)求各组秩和(Ri)
分别将各组秩次相加得Ri
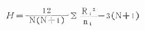
(四)计算统计量H值
按式(21.4)计算。式中ni为各组观察值个数,N=Σni

本例

(五)确定P值,作出推论
若组数K=3,每组例数≤5,可查附表21-3“秩和检验用H界值表”得出P值;若超出附表21-3的范围,可按v=k-1查x2界值表得出P值。本例k=4,超出附表21-3范围,按v=4-1=3查x2界值表,x20.01(3)=11.34,P<0.01,按α=0.05检验水准拒绝H0,可认为四种功能区SO2日均浓度有差别。